[在线作业] 川大《高等数学1386》17秋在线作业12参考

[复制链接]
发表于 2017-11-6 16:33:38 | 显示全部楼层 |阅读模式
《高等数学1386》17秋在线作业1

一、单选题:
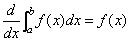
1.<font face=\\\Arial\\\>题目:<img height=\\\44\\\ width=\\\221\\\ alt=\\\\\\ src=\\\\\\ /></font>          (满分:2.5)
    A.1
    B.2
    C.3
    D.4
2.下列算式正确的是( )          (满分:2.5)
    A.<IMG SRC=\\\\\\></IMG>
    B.<IMG SRC=\\\\\\></IMG>
    C.<IMG SRC=\\\\\\></IMG>
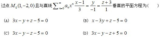
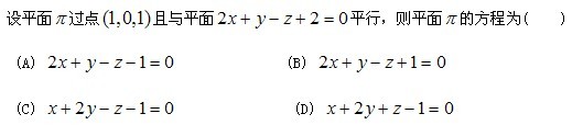
    D.<IMG SRC=\\\\\\></IMG>
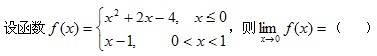
3.<font face=\\\Arial\\\>题目:<img height=\\\56\\\ width=\\\377\\\ alt=\\\\\\ src=\\\\\\ /></font>          (满分:2.5)
    A.-1
    B.0
    C.1
    D.不存在
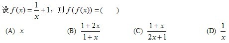
4.<font face=\\\Arial\\\>题目:<img height=\\\32\\\ width=\\\260\\\ alt=\\\\\\ src=\\\\\\ /></font>          (满分:2.5)
    A.-3
    B.-2
    C.-1
    D.0
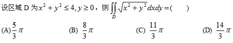
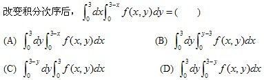
5.<font face=\\\Arial\\\>题目:<img height=\\\170\\\ width=\\\343\\\ alt=\\\\\\ src=\\\\\\ /></font>          (满分:2.5)
    A.A
    B.B
    C.C
    D.D
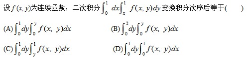
6.<font face=\\\Arial\\\>题目:<img height=\\\88\\\ width=\\\483\\\ alt=\\\\\\ src=\\\\\\ /></font>          (满分:2.5)
    A.A
    B.B
    C.C
    D.D
7.<font face=\\\Arial\\\>题目:<img height=\\\53\\\ width=\\\200\\\ alt=\\\\\\ src=\\\\\\ /></font>          (满分:2.5)
    A.2
    B.1
    C.-1
    D.0
8.<font face=\\\Arial\\\>题目:<img height=\\\96\\\ width=\\\455\\\ alt=\\\\\\ src=\\\\\\ /></font>          (满分:2.5)
    A.A
    B.B
    C.C
    D.D
9.<font face=\\\Arial\\\>题目:<img height=\\\108\\\ width=\\\441\\\ alt=\\\\\\ src=\\\\\\ /></font>          (满分:2.5)
    A.A
    B.B
    C.C
    D.D
10.<font face=\\\Arial\\\>题目:<img height=\\\60\\\ width=\\\387\\\ alt=\\\\\\ src=\\\\\\ /></font>          (满分:2.5)
    A.A
    B.B
    C.C
    D.D
11.<font face=\\\Arial\\\>题目:<img height=\\\69\\\ width=\\\477\\\ alt=\\\\\\ src=\\\\\\ /></font>          (满分:2.5)
    A.A
    B.B
    C.C
    D.D
12.<font face=\\\Arial\\\>题目:<img height=\\\67\\\ width=\\\379\\\ alt=\\\\\\ src=\\\\\\ /></font>          (满分:2.5)
    A.1
    B.2
    C.3
    D.4
13.<font face=\\\Arial\\\>题目:<img height=\\\109\\\ width=\\\417\\\ alt=\\\\\\ src=\\\\\\ /></font>          (满分:2.5)
    A.A
    B.B
    C.C
    D.D
14.<font face=\\\Arial\\\>题目:<img height=\\\27\\\ width=\\\454\\\ alt=\\\\\\ src=\\\\\\ /></font>          (满分:2.5)
    A.(1,-2,3)
    B.(1,2,-3)
    C.(-1,2,3)
    D.<font face=\\\Arial\\\>(-1,-2,-3)</font>
15.下列命题中,正确的是          (满分:2.5)
    A.<IMG SRC=\\\\\\></IMG>
    B.<IMG SRC=\\\\\\></IMG>
    C.<IMG SRC=\\\\\\></IMG>
    D.<IMG SRC=\\\\\\></IMG>
16.<font face=\\\Arial\\\>题目:<img height=\\\116\\\ width=\\\351\\\ alt=\\\\\\ src=\\\\\\ /></font>          (满分:2.5)
    A.A
    B.B
    C.C
    D.D
17.<font face=\\\Arial\\\>题目:<img height=\\\70\\\ width=\\\507\\\ alt=\\\\\\ src=\\\\\\ /></font>          (满分:2.5)
    A.A
    B.B
    C.C
    D.D
18.<font face=\\\Arial\\\>题目:<img height=\\\60\\\ width=\\\522\\\ alt=\\\\\\ src=\\\\\\ /></font>          (满分:2.5)
    A.A
    B.B
    C.C
    D.D
19.<font face=\\\Arial\\\>题目:<img alt=\\\\\\ src=\\\\\\ /></font>          (满分:2.5)
    A.A
    B.B
    C.C
    D.D
20.<font face=\\\Arial\\\>题目:<img height=\\\89\\\ width=\\\469\\\ alt=\\\\\\ src=\\\\\\ /></font>          (满分:2.5)
    A.A
    B.B
    C.C
    D.D
21.<font face=\\\Arial\\\>题目:<img height=\\\36\\\ width=\\\161\\\ alt=\\\\\\ src=\\\\\\ /></font>          (满分:2.5)
    A.3
    B.0
    C.1
    D.2
22.<font face=\\\Arial\\\>题目:<img height=\\\91\\\ width=\\\456\\\ alt=\\\\\\ src=\\\\\\ /></font>          (满分:2.5)
    A.A
    B.B
    C.C
    D.D
23.<font face=\\\Arial\\\>题目:<img height=\\\26\\\ width=\\\283\\\ alt=\\\\\\ src=\\\\\\ /></font>          (满分:2.5)
    A.<p>(1,1)</p>
    B.(1,-1)
    C.(-1,1)
    D.(-1,-1)
24.<IMG SRC=\\\\\\></IMG>          (满分:2.5)
    A.<IMG SRC=\\\\\\></IMG>
    B.<IMG SRC=\\\\\\></IMG>
    C.<IMG SRC=\\\\\\></IMG>
    D.<IMG SRC=\\\\\\></IMG>
25.<font face=\\\Arial\\\>题目:<img height=\\\85\\\ width=\\\388\\\ alt=\\\\\\ src=\\\\\\ /></font>          (满分:2.5)
    A.A
    B.B
    C.C
    D.D
26.<font face=\\\Arial\\\>题目:<img height=\\\25\\\ width=\\\243\\\ alt=\\\\\\ src=\\\\\\ /></font>          (满分:2.5)
    A.<span style=\\\FONT-SIZE: 10.5pt; FONT-FAMILY: 宋体; mso-bidi-font-size: 12.0pt; mso-ascii-font-family: 'Times New Roman'; mso-bidi-font-family: 'Times New Roman'; mso-font-kerning: 1.0pt; mso-ansi-language: EN-US; mso-fareast-language: ZH-CN; mso-bidi-language: AR-SA\\\>在点</span><span lang=\\\EN-US\\\ style=\\\FONT-SIZE: 10.5pt; FONT-FAMILY: 'Times New Roman'; mso-bidi-font-size: 12.0pt; mso-hansi-font-family: 宋体; mso-font-kerning: 1.0pt; mso-ansi-language: EN-US; mso-fareast-language: ZH-CN; mso-bidi-language: AR-SA; mso-fareast-font-family: 宋体\\\>(1,2)</span><span style=\\\FONT-SIZE: 10.5pt; FONT-FAMILY: 宋体; mso-bidi-font-size: 12.0pt; mso-ascii-font-family: 'Times New Roman'; mso-bidi-font-family: 'Times New Roman'; mso-font-kerning: 1.0pt; mso-ansi-language: EN-US; mso-fareast-language: ZH-CN; mso-bidi-language: AR-SA\\\>处取最大值</span><span lang=\\\EN-US\\\ style=\\\FONT-SIZE: 10.5pt; FONT-FAMILY: 'Times New Roman'; mso-bidi-font-size: 12.0pt; mso-font-kerning: 1.0pt; mso-ansi-language: EN-US; mso-fareast-language: ZH-CN; mso-bidi-language: AR-SA; mso-fareast-font-family: 宋体\\\>5</span>
    B.<span style=\\\FONT-SIZE: 10.5pt; FONT-FAMILY: 宋体; mso-bidi-font-size: 12.0pt; mso-ascii-font-family: 'Times New Roman'; mso-bidi-font-family: 'Times New Roman'; mso-font-kerning: 1.0pt; mso-ansi-language: EN-US; mso-fareast-language: ZH-CN; mso-bidi-language: AR-SA\\\>在点</span><span lang=\\\EN-US\\\ style=\\\FONT-SIZE: 10.5pt; FONT-FAMILY: 'Times New Roman'; mso-bidi-font-size: 12.0pt; mso-hansi-font-family: 宋体; mso-font-kerning: 1.0pt; mso-ansi-language: EN-US; mso-fareast-language: ZH-CN; mso-bidi-language: AR-SA; mso-fareast-font-family: 宋体\\\>(1,2)</span><span style=\\\FONT-SIZE: 10.5pt; FONT-FAMILY: 宋体; mso-bidi-font-size: 12.0pt; mso-ascii-font-family: 'Times New Roman'; mso-bidi-font-family: 'Times New Roman'; mso-font-kerning: 1.0pt; mso-ansi-language: EN-US; mso-fareast-language: ZH-CN; mso-bidi-language: AR-SA\\\>处取最小值</span><span lang=\\\EN-US\\\ style=\\\FONT-SIZE: 10.5pt; FONT-FAMILY: 'Times New Roman'; mso-bidi-font-size: 12.0pt; mso-font-kerning: 1.0pt; mso-ansi-language: EN-US; mso-fareast-language: ZH-CN; mso-bidi-language: AR-SA; mso-fareast-font-family: 宋体\\\>-5</span>
    C.<span style=\\\FONT-SIZE: 10.5pt; FONT-FAMILY: 宋体; mso-bidi-font-size: 12.0pt; mso-ascii-font-family: 'Times New Roman'; mso-bidi-font-family: 'Times New Roman'; mso-font-kerning: 1.0pt; mso-ansi-language: EN-US; mso-fareast-language: ZH-CN; mso-bidi-language: AR-SA\\\>在点</span><span lang=\\\EN-US\\\ style=\\\FONT-SIZE: 10.5pt; FONT-FAMILY: 'Times New Roman'; mso-bidi-font-size: 12.0pt; mso-hansi-font-family: 宋体; mso-font-kerning: 1.0pt; mso-ansi-language: EN-US; mso-fareast-language: ZH-CN; mso-bidi-language: AR-SA; mso-fareast-font-family: 宋体\\\>(0,0)</span><span style=\\\FONT-SIZE: 10.5pt; FONT-FAMILY: 宋体; mso-bidi-font-size: 12.0pt; mso-ascii-font-family: 'Times New Roman'; mso-bidi-font-family: 'Times New Roman'; mso-font-kerning: 1.0pt; mso-ansi-language: EN-US; mso-fareast-language: ZH-CN; mso-bidi-language: AR-SA\\\>处取最大值</span><span lang=\\\EN-US\\\ style=\\\FONT-SIZE: 10.5pt; FONT-FAMILY: 'Times New Roman'; mso-bidi-font-size: 12.0pt; mso-font-kerning: 1.0pt; mso-ansi-language: EN-US; mso-fareast-language: ZH-CN; mso-bidi-language: AR-SA; mso-fareast-font-family: 宋体\\\>0</span>
    D.<span style=\\\FONT-SIZE: 10.5pt; FONT-FAMILY: 宋体; mso-bidi-font-size: 12.0pt; mso-ascii-font-family: 'Times New Roman'; mso-bidi-font-family: 'Times New Roman'; mso-font-kerning: 1.0pt; mso-ansi-language: EN-US; mso-fareast-language: ZH-CN; mso-bidi-language: AR-SA\\\>在点</span><span lang=\\\EN-US\\\ style=\\\FONT-SIZE: 10.5pt; FONT-FAMILY: 'Times New Roman'; mso-bidi-font-size: 12.0pt; mso-hansi-font-family: 宋体; mso-font-kerning: 1.0pt; mso-ansi-language: EN-US; mso-fareast-language: ZH-CN; mso-bidi-language: AR-SA; mso-fareast-font-family: 宋体\\\>(0,0)</span><span style=\\\FONT-SIZE: 10.5pt; FONT-FAMILY: 宋体; mso-bidi-font-size: 12.0pt; mso-ascii-font-family: 'Times New Roman'; mso-bidi-font-family: 'Times New Roman'; mso-font-kerning: 1.0pt; mso-ansi-language: EN-US; mso-fareast-language: ZH-CN; mso-bidi-language: AR-SA\\\>处取最小值</span><span lang=\\\EN-US\\\ style=\\\FONT-SIZE: 10.5pt; FONT-FAMILY: 'Times New Roman'; mso-bidi-font-size: 12.0pt; mso-font-kerning: 1.0pt; mso-ansi-language: EN-US; mso-fareast-language: ZH-CN; mso-bidi-language: AR-SA; mso-fareast-font-family: 宋体\\\>0</span>
27.下列式子中正确的是(  )          (满分:2.5)
    A.<IMG SRC=\\\\\\></IMG>
    B.<IMG SRC=\\\\\\></IMG>
    C.<IMG SRC=\\\\\\></IMG>
    D.<IMG SRC=\\\\\\></IMG>
28.<font face=\\\Arial\\\>题目:<img height=\\\54\\\ width=\\\534\\\ alt=\\\\\\ src=\\\\\\ /></font>          (满分:2.5)
    A.<span style=\\\FONT-SIZE: 10.5pt; FONT-FAMILY: 宋体; mso-bidi-font-size: 12.0pt; mso-ascii-font-family: 'Times New Roman'; mso-hansi-font-family: 'Times New Roman'; mso-bidi-font-family: 'Times New Roman'; mso-font-kerning: 1.0pt; mso-ansi-language: EN-US; mso-fareast-language: ZH-CN; mso-bidi-language: AR-SA\\\>仅有一条</span>
    B.<span style=\\\FONT-SIZE: 10.5pt; FONT-FAMILY: 宋体; mso-bidi-font-size: 12.0pt; mso-ascii-font-family: 'Times New Roman'; mso-hansi-font-family: 'Times New Roman'; mso-bidi-font-family: 'Times New Roman'; mso-font-kerning: 1.0pt; mso-ansi-language: EN-US; mso-fareast-language: ZH-CN; mso-bidi-language: AR-SA\\\>至少有一条</span>
    C.<span style=\\\FONT-SIZE: 10.5pt; FONT-FAMILY: 宋体; mso-bidi-font-size: 12.0pt; mso-ascii-font-family: 'Times New Roman'; mso-hansi-font-family: 'Times New Roman'; mso-bidi-font-family: 'Times New Roman'; mso-font-kerning: 1.0pt; mso-ansi-language: EN-US; mso-fareast-language: ZH-CN; mso-bidi-language: AR-SA\\\>不一定存在</span>
    D.<span style=\\\FONT-SIZE: 10.5pt; FONT-FAMILY: 宋体; mso-bidi-font-size: 12.0pt; mso-ascii-font-family: 'Times New Roman'; mso-hansi-font-family: 'Times New Roman'; mso-bidi-font-family: 'Times New Roman'; mso-font-kerning: 1.0pt; mso-ansi-language: EN-US; mso-fareast-language: ZH-CN; mso-bidi-language: AR-SA\\\>不存在</span>
29.<font face=\\\Arial\\\>题目:<img height=\\\124\\\ width=\\\527\\\ alt=\\\\\\ src=\\\\\\ /></font>          (满分:2.5)
    A.A
    B.B
    C.C
    D.D
30.<font face=\\\Arial\\\>题目:<img height=\\\117\\\ width=\\\383\\\ alt=\\\\\\ src=\\\\\\ /></font>          (满分:2.5)
    A.A
    B.B
    C.C
    D.D
31.<font face=\\\Arial\\\>题目:<img height=\\\44\\\ width=\\\188\\\ alt=\\\\\\ src=\\\\\\ /></font>          (满分:2.5)
    A.2
    B.1
    C.0
    D.-1
32.<font face=\\\Arial\\\>题目:<img height=\\\26\\\ width=\\\467\\\ alt=\\\\\\ src=\\\\\\ /></font>          (满分:2.5)
    A.25
    B.26
    C.27
    D.28
33.<font face=\\\Arial\\\>题目:<img height=\\\44\\\ width=\\\248\\\ alt=\\\\\\ src=\\\\\\ /></font>          (满分:2.5)
    A.-1
    B.<p>0</p>
    C.1
    D.2
34.<font face=\\\Arial\\\>题目:<img height=\\\90\\\ width=\\\503\\\ alt=\\\\\\ src=\\\\\\ /></font>          (满分:2.5)
    A.A
    B.B
    C.C
    D.D
35.<font face=\\\Arial\\\>题目:<img height=\\\71\\\ width=\\\494\\\ alt=\\\\\\ src=\\\\\\ /></font>          (满分:2.5)
    A.A
    B.B
    C.C
    D.D
36.<font face=\\\Arial\\\>题目:<img height=\\\89\\\ width=\\\476\\\ alt=\\\\\\ src=\\\\\\ /></font>          (满分:2.5)
    A.A
    B.B
    C.C
    D.D
37.<font face=\\\Arial\\\>题目:<img height=\\\102\\\ width=\\\328\\\ alt=\\\\\\ src=\\\\\\ /></font>          (满分:2.5)
    A.A
    B.B
    C.C
    D.D
38.<font face=\\\Arial\\\>题目:<img height=\\\103\\\ width=\\\475\\\ alt=\\\\\\ src=\\\\\\ /></font>          (满分:2.5)
    A.A
    B.B
    C.C
    D.D
39.<font face=\\\Arial\\\>题目:<img height=\\\50\\\ width=\\\314\\\ alt=\\\\\\ src=\\\\\\ /></font>          (满分:2.5)
    A.垂直
    B.<span style=\\\FONT-SIZE: 10.5pt; FONT-FAMILY: 宋体; mso-bidi-font-size: 12.0pt; mso-ascii-font-family: 'Times New Roman'; mso-hansi-font-family: 'Times New Roman'; mso-bidi-font-family: 'Times New Roman'; mso-font-kerning: 1.0pt; mso-ansi-language: EN-US; mso-fareast-language: ZH-CN; mso-bidi-language: AR-SA\\\>斜交</span>
    C.<span style=\\\FONT-SIZE: 10.5pt; FONT-FAMILY: 宋体; mso-bidi-font-size: 12.0pt; mso-ascii-font-family: 'Times New Roman'; mso-hansi-font-family: 'Times New Roman'; mso-bidi-font-family: 'Times New Roman'; mso-font-kerning: 1.0pt; mso-ansi-language: EN-US; mso-fareast-language: ZH-CN; mso-bidi-language: AR-SA\\\>平行</span>
    D.<span style=\\\FONT-SIZE: 10.5pt; FONT-FAMILY: 宋体; mso-bidi-font-size: 12.0pt; mso-ascii-font-family: 'Times New Roman'; mso-hansi-font-family: 'Times New Roman'; mso-bidi-font-family: 'Times New Roman'; mso-font-kerning: 1.0pt; mso-ansi-language: EN-US; mso-fareast-language: ZH-CN; mso-bidi-language: AR-SA\\\>重合</span>
40.<font face=\\\Arial\\\>题目:<img height=\\\93\\\ width=\\\358\\\ alt=\\\\\\ src=\\\\\\ /></font>          (满分:2.5)
    A.A
    B.B
    C.C
    D.D
《高等数学1386》17秋在线作业2

一、单选题:
1.<font face=\\\Arial\\\>题目:<img height=\\\182\\\ width=\\\529\\\ alt=\\\\\\ src=\\\\\\ /></font>          (满分:2.5)
    A.A
    B.B
    C.C
    D.D
2.<font face=\\\Arial\\\>题目:<img height=\\\84\\\ width=\\\453\\\ alt=\\\\\\ src=\\\\\\ /></font>          (满分:2.5)
    A.A
    B.B
    C.C
    D.D
3.下列式子中正确的是(  )          (满分:2.5)
    A.<IMG SRC=\\\\\\></IMG>
    B.<IMG SRC=\\\\\\></IMG>
    C.<IMG SRC=\\\\\\></IMG>
    D.<IMG SRC=\\\\\\></IMG>
4.<font face=\\\Arial\\\>题目:<img height=\\\36\\\ width=\\\161\\\ alt=\\\\\\ src=\\\\\\ /></font>          (满分:2.5)
    A.3
    B.0
    C.1
    D.2
5.<font face=\\\Arial\\\>题目:<img height=\\\36\\\ width=\\\279\\\ alt=\\\\\\ src=\\\\\\ /></font>          (满分:2.5)
    A.0
    B.1
    C.2
    D.3
6.<font face=\\\Arial\\\>题目:<img height=\\\65\\\ width=\\\454\\\ alt=\\\\\\ src=\\\\\\ /></font>          (满分:2.5)
    A.A
    B.B
    C.C
    D.D
7.<font face=\\\Arial\\\>题目:<img height=\\\102\\\ width=\\\328\\\ alt=\\\\\\ src=\\\\\\ /></font>          (满分:2.5)
    A.A
    B.B
    C.C
    D.D
8.<font face=\\\Arial\\\>题目:<img height=\\\127\\\ width=\\\479\\\ alt=\\\\\\ src=\\\\\\ /></font>          (满分:2.5)
    A.A
    B.B
    C.C
    D.D
9.下列命题中,正确的是          (满分:2.5)
    A.<IMG SRC=\\\\\\></IMG>
    B.<IMG SRC=\\\\\\></IMG>
    C.<IMG SRC=\\\\\\></IMG>
    D.<IMG SRC=\\\\\\></IMG>
10.<font face=\\\Arial\\\>题目:<img height=\\\98\\\ width=\\\457\\\ alt=\\\\\\ src=\\\\\\ /></font>          (满分:2.5)
    A.A
    B.B
    C.C
    D.D
11.下列算式正确的是( )          (满分:2.5)
    A.<IMG SRC=\\\\\\></IMG>
    B.<IMG SRC=\\\\\\></IMG>
    C.<IMG SRC=\\\\\\></IMG>
    D.<IMG SRC=\\\\\\></IMG>
12.<font face=\\\Arial\\\>题目:<img height=\\\90\\\ width=\\\503\\\ alt=\\\\\\ src=\\\\\\ /></font>          (满分:2.5)
    A.A
    B.B
    C.C
    D.D
13.<font face=\\\Arial\\\>题目:<img height=\\\67\\\ width=\\\499\\\ alt=\\\\\\ src=\\\\\\ /></font>          (满分:2.5)
    A.A
    B.B
    C.C
    D.D
14.<font face=\\\Arial\\\>题目:<img height=\\\70\\\ width=\\\507\\\ alt=\\\\\\ src=\\\\\\ /></font>          (满分:2.5)
    A.A
    B.B
    C.C
    D.D
15.<font face=\\\Arial\\\>题目:<img height=\\\44\\\ width=\\\248\\\ alt=\\\\\\ src=\\\\\\ /></font>          (满分:2.5)
    A.-1
    B.<p>0</p>
    C.1
    D.2
16.<font face=\\\Arial\\\>题目:<img height=\\\56\\\ width=\\\407\\\ alt=\\\\\\ src=\\\\\\ /></font>          (满分:2.5)
    A.A
    B.B
    C.C
    D.D
17.<font face=\\\Arial\\\>题目:<img height=\\\31\\\ width=\\\155\\\ alt=\\\\\\ src=\\\\\\ /></font>          (满分:2.5)
    A.e-1
    B.e
    C.1
    D.<p>0</p>
18.<font face=\\\Arial\\\>题目:<img height=\\\55\\\ width=\\\475\\\ alt=\\\\\\ src=\\\\\\ /></font>          (满分:2.5)
    A.A
    B.B
    C.C
    D.D
19.<font face=\\\Arial\\\>题目:<img height=\\\87\\\ width=\\\460\\\ alt=\\\\\\ src=\\\\\\ /></font>          (满分:2.5)
    A.A
    B.B
    C.C
    D.D
20.<font face=\\\Arial\\\>题目:<img height=\\\116\\\ width=\\\496\\\ alt=\\\\\\ src=\\\\\\ /></font>          (满分:2.5)
    A.A
    B.B
    C.C
    D.D
21.<font face=\\\Arial\\\>题目:<img height=\\\73\\\ width=\\\409\\\ alt=\\\\\\ src=\\\\\\ /></font>          (满分:2.5)
    A.A
    B.B
    C.C
    D.D
22.<font face=\\\Arial\\\>题目:<img height=\\\170\\\ width=\\\343\\\ alt=\\\\\\ src=\\\\\\ /></font>          (满分:2.5)
    A.A
    B.B
    C.C
    D.D
23.<font face=\\\Arial\\\>题目:<img height=\\\171\\\ width=\\\432\\\ alt=\\\\\\ src=\\\\\\ /></font>          (满分:2.5)
    A.A
    B.B
    C.C
    D.D
24.<font face=\\\Arial\\\>题目:<img height=\\\27\\\ width=\\\454\\\ alt=\\\\\\ src=\\\\\\ /></font>          (满分:2.5)
    A.(1,-2,3)
    B.(1,2,-3)
    C.(-1,2,3)
    D.<font face=\\\Arial\\\>(-1,-2,-3)</font>
25.<font face=\\\Arial\\\>题目:<img height=\\\32\\\ width=\\\258\\\ alt=\\\\\\ src=\\\\\\ /></font>          (满分:2.5)
    A.<span style=\\\FONT-SIZE: 10.5pt; COLOR: black; FONT-FAMILY: 宋体; mso-bidi-font-size: 12.0pt; mso-ascii-font-family: 'Times New Roman'; mso-hansi-font-family: 'Times New Roman'; mso-bidi-font-family: 'Times New Roman'; mso-font-kerning: 1.0pt; mso-ansi-language: EN-US; mso-fareast-language: ZH-CN; mso-bidi-language: AR-SA\\\>充分条件,但不是必要条件</span>
    B.<span style=\\\FONT-SIZE: 10.5pt; FONT-FAMILY: 宋体; mso-bidi-font-size: 12.0pt; mso-ascii-font-family: 'Times New Roman'; mso-hansi-font-family: 'Times New Roman'; mso-bidi-font-family: 'Times New Roman'; mso-font-kerning: 1.0pt; mso-ansi-language: EN-US; mso-fareast-language: ZH-CN; mso-bidi-language: AR-SA\\\>必要条件,但不是充分条件</span>
    C.<span style=\\\FONT-SIZE: 10.5pt; COLOR: black; FONT-FAMILY: 宋体; mso-bidi-font-size: 12.0pt; mso-ascii-font-family: 'Times New Roman'; mso-hansi-font-family: 'Times New Roman'; mso-bidi-font-family: 'Times New Roman'; mso-font-kerning: 1.0pt; mso-ansi-language: EN-US; mso-fareast-language: ZH-CN; mso-bidi-language: AR-SA\\\>充分必要条件</span>
    D.<span style=\\\FONT-SIZE: 10.5pt; COLOR: black; FONT-FAMILY: 宋体; mso-bidi-font-size: 12.0pt; mso-ascii-font-family: 'Times New Roman'; mso-hansi-font-family: 'Times New Roman'; mso-bidi-font-family: 'Times New Roman'; mso-font-kerning: 1.0pt; mso-ansi-language: EN-US; mso-fareast-language: ZH-CN; mso-bidi-language: AR-SA\\\>既不是充分条件也不是必要条件</span>
26.<font face=\\\Arial\\\>题目:<img height=\\\76\\\ width=\\\437\\\ alt=\\\\\\ src=\\\\\\ /></font>          (满分:2.5)
    A.A
    B.B
    C.C
    D.D
27.<font face=\\\Arial\\\>题目:<img height=\\\88\\\ width=\\\483\\\ alt=\\\\\\ src=\\\\\\ /></font>          (满分:2.5)
    A.A
    B.B
    C.C
    D.D
28.<font face=\\\Arial\\\>题目:<img height=\\\90\\\ width=\\\367\\\ alt=\\\\\\ src=\\\\\\ /></font>          (满分:2.5)
    A.A
    B.B
    C.C
    D.D
29.<font face=\\\Arial\\\>题目:<img height=\\\91\\\ width=\\\456\\\ alt=\\\\\\ src=\\\\\\ /></font>          (满分:2.5)
    A.A
    B.B
    C.C
    D.D
30.<font face=\\\Arial\\\>题目:<img height=\\\40\\\ width=\\\169\\\ alt=\\\\\\ src=\\\\\\ /></font>          (满分:2.5)
    A.0
    B.1
    C.2
    D.3
31.<font face=\\\Arial\\\>题目:<img height=\\\60\\\ width=\\\522\\\ alt=\\\\\\ src=\\\\\\ /></font>          (满分:2.5)
    A.A
    B.B
    C.C
    D.D
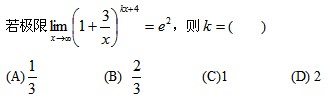
32.<font face=\\\Arial\\\>题目:<img height=\\\44\\\ width=\\\221\\\ alt=\\\\\\ src=\\\\\\ /></font>          (满分:2.5)
    A.1
    B.2
    C.3
    D.4
33.<IMG SRC=\\\\\\></IMG>          (满分:2.5)
    A.<IMG SRC=\\\\\\></IMG>
    B.<IMG SRC=\\\\\\></IMG>
    C.<IMG SRC=\\\\\\></IMG>
    D.<IMG SRC=\\\\\\></IMG>
34.<font face=\\\Arial\\\>题目:<img height=\\\27\\\ width=\\\369\\\ alt=\\\\\\ src=\\\\\\ /></font>          (满分:2.5)
    A.<span style=\\\FONT-SIZE: 10.5pt; FONT-FAMILY: 宋体; mso-bidi-font-size: 12.0pt; mso-ascii-font-family: 'Times New Roman'; mso-hansi-font-family: 'Times New Roman'; mso-bidi-font-family: 'Times New Roman'; mso-font-kerning: 1.0pt; mso-ansi-language: EN-US; mso-fareast-language: ZH-CN; mso-bidi-language: AR-SA\\\>奇函数</span>
    B.<span style=\\\FONT-SIZE: 10.5pt; FONT-FAMILY: 宋体; mso-bidi-font-size: 12.0pt; mso-ascii-font-family: 'Times New Roman'; mso-hansi-font-family: 'Times New Roman'; mso-bidi-font-family: 'Times New Roman'; mso-font-kerning: 1.0pt; mso-ansi-language: EN-US; mso-fareast-language: ZH-CN; mso-bidi-language: AR-SA\\\>偶函数</span>
    C.<span style=\\\FONT-SIZE: 10.5pt; FONT-FAMILY: 宋体; mso-bidi-font-size: 12.0pt; mso-ascii-font-family: 'Times New Roman'; mso-hansi-font-family: 'Times New Roman'; mso-bidi-font-family: 'Times New Roman'; mso-font-kerning: 1.0pt; mso-ansi-language: EN-US; mso-fareast-language: ZH-CN; mso-bidi-language: AR-SA\\\>非奇非偶函数</span>
    D.<span style=\\\FONT-SIZE: 10.5pt; FONT-FAMILY: 宋体; mso-bidi-font-size: 12.0pt; mso-ascii-font-family: 'Times New Roman'; mso-hansi-font-family: 'Times New Roman'; mso-bidi-font-family: 'Times New Roman'; mso-font-kerning: 1.0pt; mso-ansi-language: EN-US; mso-fareast-language: ZH-CN; mso-bidi-language: AR-SA\\\>以上均不对</span>
35.<font face=\\\Arial\\\>题目:<img height=\\\114\\\ width=\\\519\\\ alt=\\\\\\ src=\\\\\\ /></font>          (满分:2.5)
    A.A
    B.B
    C.C
    D.D
36.<font face=\\\Arial\\\>题目:<img height=\\\32\\\ width=\\\260\\\ alt=\\\\\\ src=\\\\\\ /></font>          (满分:2.5)
    A.-3
    B.-2
    C.-1
    D.0
37.<font face=\\\Arial\\\>题目:<img height=\\\89\\\ width=\\\476\\\ alt=\\\\\\ src=\\\\\\ /></font>          (满分:2.5)
    A.A
    B.B
    C.C
    D.D
38.<font face=\\\Arial\\\>题目:<img height=\\\170\\\ width=\\\395\\\ alt=\\\\\\ src=\\\\\\ /></font>          (满分:2.5)
    A.A
    B.B
    C.C
    D.D
39.<font face=\\\Arial\\\>题目:<img height=\\\89\\\ width=\\\469\\\ alt=\\\\\\ src=\\\\\\ /></font>          (满分:2.5)
    A.A
    B.B
    C.C
    D.D
40.<font face=\\\Arial\\\>题目:<img height=\\\71\\\ width=\\\494\\\ alt=\\\\\\ src=\\\\\\ /></font>          (满分:2.5)
    A.A
    B.B
    C.C
    D.D

《高等数学1386》17秋在线作业1答案.rar

2.72 KB, 下载次数: 2, 下载积分: 贡献 1

售价: 2 金币  [记录]  [购买]

《高等数学1386》17秋在线作业2答案.rar

2.58 KB, 下载次数: 2, 下载积分: 贡献 1

售价: 2 金币  [记录]  [购买]

快速回复 返回顶部 返回列表