[在线作业] 川大《高等数学(Ⅰ)(上)2029》17秋在线作业12资料

[复制链接]
发表于 2017-11-6 16:32:03 | 显示全部楼层 |阅读模式
《高等数学(Ⅰ)(上)2029》17秋在线作业1

一、单选题:
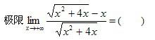
1.<font face=\\\Arial\\\>题目:<img height=\\\61\\\ width=\\\404\\\ alt=\\\\\\ src=\\\\\\ /></font>          (满分:4)
    A.A
    B.B
    C.C
    D.D
2.下列函数中是偶函数的为(    )          (满分:4)
    A.<IMG SRC=\\\\\\></IMG>
    B.<IMG SRC=\\\\\\></IMG>
    C.<IMG SRC=\\\\\\></IMG>
    D.<IMG SRC=\\\\\\></IMG>
3.<font face=\\\Arial\\\>题目:<img height=\\\75\\\ width=\\\420\\\ alt=\\\\\\ src=\\\\\\ /></font>          (满分:4)
    A.A
    B.B
    C.C
    D.D
4.<font face=\\\Arial\\\>题目:<img height=\\\98\\\ width=\\\457\\\ alt=\\\\\\ src=\\\\\\ /></font>          (满分:4)
    A.A
    B.B
    C.C
    D.D
5.<font face=\\\Arial\\\>题目:</font><img height=\\\32\\\ width=\\\295\\\ alt=\\\\\\ src=\\\\\\ />          (满分:4)
    A.<p><span lang=\\\EN-US\\\ style=\\\FONT-SIZE: 10.5pt; FONT-FAMILY: 'Times New Roman'; mso-bidi-font-size: 12.0pt; mso-font-kerning: 1.0pt; mso-ansi-language: EN-US; mso-fareast-language: ZH-CN; mso-bidi-language: AR-SA; mso-fareast-font-family: 宋体\\\><span style=\\\mso-text-raise: -5.0pt\\\><v:shapetype id=\\\_x0000_t75\\\ stroked=\\\f\\\ filled=\\\f\\\ path=\\\m@4@5l@4@11@9@11@9@5xe\\\ o:preferrelative=\\\t\\\ o:spt=\\\75\\\ coordsize=\\\21600,21600\\\>[-1,0)</v:shapetype></span></span></p>
    B.(0,1]
    C.[-1,+1]
    D.R
6.<font face=\\\Arial\\\>题目:<img height=\\\75\\\ width=\\\447\\\ alt=\\\\\\ src=\\\\\\ /></font>          (满分:4)
    A.A
    B.B
    C.C
    D.D
7.<font face=\\\Arial\\\>题目:<img height=\\\62\\\ width=\\\408\\\ alt=\\\\\\ src=\\\\\\ /></font>          (满分:4)
    A.A
    B.B
    C.C
    D.D
8.<font face=\\\Arial\\\>题目:<img height=\\\61\\\ width=\\\397\\\ alt=\\\\\\ src=\\\\\\ /></font>          (满分:4)
    A.A
    B.B
    C.C
    D.D
9.<font face=\\\Arial\\\>题目:<img height=\\\71\\\ width=\\\390\\\ alt=\\\\\\ src=\\\\\\ /></font>          (满分:4)
    A.1
    B.2
    C.3
    D.4
10.<font face=\\\Arial\\\>题目:<img height=\\\68\\\ width=\\\435\\\ alt=\\\\\\ src=\\\\\\ /></font>          (满分:4)
    A.A
    B.B
    C.C
    D.D
11.<IMG SRC=\\\\\\></IMG>          (满分:4)
    A.<IMG SRC=\\\\\\></IMG>
    B.<IMG SRC=\\\\\\></IMG>
    C.<IMG SRC=\\\\\\></IMG>
    D.<IMG SRC=\\\\\\></IMG>
12.<font face=\\\Arial\\\>题目:<img height=\\\36\\\ width=\\\263\\\ alt=\\\\\\ src=\\\\\\ /></font>          (满分:4)
    A.<span style=\\\FONT-SIZE: 10.5pt; COLOR: black; FONT-FAMILY: 宋体; mso-bidi-font-size: 12.0pt; mso-ascii-font-family: 'Times New Roman'; mso-hansi-font-family: 'Times New Roman'; mso-bidi-font-family: 'Times New Roman'; mso-font-kerning: 1.0pt; mso-ansi-language: EN-US; mso-fareast-language: ZH-CN; mso-bidi-language: AR-SA\\\>充分条件,但不是必要条件</span>
    B.<span style=\\\FONT-SIZE: 10.5pt; COLOR: black; FONT-FAMILY: 宋体; mso-bidi-font-size: 12.0pt; mso-ascii-font-family: 'Times New Roman'; mso-hansi-font-family: 'Times New Roman'; mso-bidi-font-family: 'Times New Roman'; mso-font-kerning: 1.0pt; mso-ansi-language: EN-US; mso-fareast-language: ZH-CN; mso-bidi-language: AR-SA\\\>必要条件,但不是充分条件</span>
    C.<span style=\\\FONT-SIZE: 10.5pt; COLOR: black; FONT-FAMILY: 宋体; mso-bidi-font-size: 12.0pt; mso-ascii-font-family: 'Times New Roman'; mso-hansi-font-family: 'Times New Roman'; mso-bidi-font-family: 'Times New Roman'; mso-font-kerning: 1.0pt; mso-ansi-language: EN-US; mso-fareast-language: ZH-CN; mso-bidi-language: AR-SA\\\>充分必要条件</span>
    D.<span style=\\\FONT-SIZE: 10.5pt; COLOR: black; FONT-FAMILY: 宋体; mso-bidi-font-size: 12.0pt; mso-ascii-font-family: 'Times New Roman'; mso-hansi-font-family: 'Times New Roman'; mso-bidi-font-family: 'Times New Roman'; mso-font-kerning: 1.0pt; mso-ansi-language: EN-US; mso-fareast-language: ZH-CN; mso-bidi-language: AR-SA\\\>既不是充分条件也不是必要条件</span>
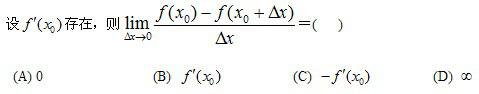
13.<font face=\\\Arial\\\>题目:<img height=\\\27\\\ width=\\\305\\\ alt=\\\\\\ src=\\\\\\ /></font>          (满分:4)
    A.<p>(1,1)</p>
    B.<p>(1,-1)</p>
    C.(-1,1)
    D.(-1,-1)
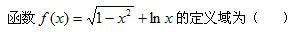
14.<font face=\\\Arial\\\>题目:<img height=\\\34\\\ width=\\\261\\\ alt=\\\\\\ src=\\\\\\ /></font>          (满分:4)
    A.-3
    B.-2
    C.-1
    D.0
15.<IMG SRC=\\\\\\></IMG>          (满分:4)
    A.<IMG SRC=\\\\\\></IMG>
    B.<IMG SRC=\\\\\\></IMG>
    C.<IMG SRC=\\\\\\></IMG>
    D.<IMG SRC=\\\\\\></IMG>
16.<font face=\\\Arial\\\>题目:<img height=\\\80\\\ width=\\\448\\\ alt=\\\\\\ src=\\\\\\ /></font>          (满分:4)
    A.A
    B.B
    C.C
    D.D
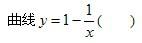
17.<font face=\\\Arial\\\>题目:<img height=\\\43\\\ width=\\\142\\\ alt=\\\\\\ src=\\\\\\ /></font>          (满分:4)
    A.<span style=\\\FONT-SIZE: 10.5pt; COLOR: black; FONT-FAMILY: 宋体; mso-bidi-font-size: 12.0pt; mso-ascii-font-family: 'Times New Roman'; mso-hansi-font-family: 'Times New Roman'; mso-bidi-font-family: 'Times New Roman'; mso-font-kerning: 1.0pt; mso-ansi-language: EN-US; mso-fareast-language: ZH-CN; mso-bidi-language: AR-SA\\\>有一条渐近线</span>
    B.<span style=\\\FONT-SIZE: 10.5pt; COLOR: black; FONT-FAMILY: 宋体; mso-bidi-font-size: 12.0pt; mso-ascii-font-family: 'Times New Roman'; mso-hansi-font-family: 'Times New Roman'; mso-bidi-font-family: 'Times New Roman'; mso-font-kerning: 1.0pt; mso-ansi-language: EN-US; mso-fareast-language: ZH-CN; mso-bidi-language: AR-SA\\\>有二条渐近线</span>
    C.<span style=\\\FONT-SIZE: 10.5pt; COLOR: black; FONT-FAMILY: 宋体; mso-bidi-font-size: 12.0pt; mso-ascii-font-family: 'Times New Roman'; mso-hansi-font-family: 'Times New Roman'; mso-bidi-font-family: 'Times New Roman'; mso-font-kerning: 1.0pt; mso-ansi-language: EN-US; mso-fareast-language: ZH-CN; mso-bidi-language: AR-SA\\\>有三条渐近线</span>
    D.<span style=\\\FONT-SIZE: 10.5pt; COLOR: black; FONT-FAMILY: 宋体; mso-bidi-font-size: 12.0pt; mso-ascii-font-family: 'Times New Roman'; mso-hansi-font-family: 'Times New Roman'; mso-bidi-font-family: 'Times New Roman'; mso-font-kerning: 1.0pt; mso-ansi-language: EN-US; mso-fareast-language: ZH-CN; mso-bidi-language: AR-SA\\\>无渐近线</span>
18.<font face=\\\Arial\\\>题目:<img height=\\\50\\\ width=\\\311\\\ alt=\\\\\\ src=\\\\\\ /></font>          (满分:4)
    A.0
    B.1
    C.2
    D.3
19.<font face=\\\Arial\\\>题目:<img height=\\\100\\\ width=\\\461\\\ alt=\\\\\\ src=\\\\\\ /></font>          (满分:4)
    A.A
    B.B
    C.C
    D.D
20.<font face=\\\Arial\\\>题目:<img height=\\\89\\\ width=\\\471\\\ alt=\\\\\\ src=\\\\\\ /></font>          (满分:4)
    A.A
    B.B
    C.C
    D.D
21.<font face=\\\Arial\\\>题目:<img height=\\\94\\\ width=\\\479\\\ alt=\\\\\\ src=\\\\\\ /></font>          (满分:4)
    A.A
    B.B
    C.C
    D.D
22.<font face=\\\Arial\\\>题目:<img height=\\\61\\\ width=\\\476\\\ alt=\\\\\\ src=\\\\\\ /></font>          (满分:4)
    A.A
    B.B
    C.C
    D.D
23.<font face=\\\Arial\\\>题目:<img height=\\\114\\\ width=\\\349\\\ alt=\\\\\\ src=\\\\\\ /></font>          (满分:4)
    A.A
    B.B
    C.C
    D.D
24.<font face=\\\Arial\\\>题目:<img height=\\\77\\\ width=\\\520\\\ alt=\\\\\\ src=\\\\\\ /></font>          (满分:4)
    A.A
    B.B
    C.C
    D.D
25.<font face=\\\Arial\\\>题目:<img height=\\\43\\\ width=\\\174\\\ alt=\\\\\\ src=\\\\\\ /></font>          (满分:4)
    A.0
    B.1
    C.2
    D.3
《高等数学(Ⅰ)(上)2029》17秋在线作业2

一、单选题:
1.<font face=\\\Arial\\\>题目:<img height=\\\71\\\ width=\\\390\\\ alt=\\\\\\ src=\\\\\\ /></font>          (满分:4)
    A.1
    B.2
    C.3
    D.4
2.下列函数中是偶函数的为(    )          (满分:4)
    A.<IMG SRC=\\\\\\></IMG>
    B.<IMG SRC=\\\\\\></IMG>
    C.<IMG SRC=\\\\\\></IMG>
    D.<IMG SRC=\\\\\\></IMG>
3.<font face=\\\Arial\\\>题目:<img height=\\\45\\\ width=\\\192\\\ alt=\\\\\\ src=\\\\\\ /></font>          (满分:4)
    A.3
    B.2
    C.1
    D.0
4.<font face=\\\Arial\\\>题目:<img height=\\\57\\\ width=\\\220\\\ alt=\\\\\\ src=\\\\\\ /></font>          (满分:4)
    A.-1
    B.0
    C.1
    D.2
5.<IMG SRC=\\\\\\></IMG>          (满分:4)
    A.<IMG SRC=\\\\\\></IMG>
    B.<IMG SRC=\\\\\\></IMG>
    C.<IMG SRC=\\\\\\></IMG>
    D.<IMG SRC=\\\\\\></IMG>
6.<font face=\\\Arial\\\>题目:<img height=\\\114\\\ width=\\\349\\\ alt=\\\\\\ src=\\\\\\ /></font>          (满分:4)
    A.A
    B.B
    C.C
    D.D
7.<font face=\\\Arial\\\>题目:<img height=\\\50\\\ width=\\\311\\\ alt=\\\\\\ src=\\\\\\ /></font>          (满分:4)
    A.0
    B.1
    C.2
    D.3
8.<font face=\\\Arial\\\>题目:<img height=\\\94\\\ width=\\\479\\\ alt=\\\\\\ src=\\\\\\ /></font>          (满分:4)
    A.A
    B.B
    C.C
    D.D
9.<font face=\\\Arial\\\>题目:<img height=\\\95\\\ width=\\\396\\\ alt=\\\\\\ src=\\\\\\ /></font>          (满分:4)
    A.A
    B.B
    C.C
    D.D
10.<font face=\\\Arial\\\>题目:<img height=\\\116\\\ width=\\\428\\\ alt=\\\\\\ src=\\\\\\ /></font>          (满分:4)
    A.A
    B.B
    C.C
    D.D
11.<font face=\\\Arial\\\>题目:<img height=\\\98\\\ width=\\\457\\\ alt=\\\\\\ src=\\\\\\ /></font>          (满分:4)
    A.A
    B.B
    C.C
    D.D
12.<font face=\\\Arial\\\>题目:</font><img height=\\\32\\\ width=\\\295\\\ alt=\\\\\\ src=\\\\\\ />          (满分:4)
    A.<p><span lang=\\\EN-US\\\ style=\\\FONT-SIZE: 10.5pt; FONT-FAMILY: 'Times New Roman'; mso-bidi-font-size: 12.0pt; mso-font-kerning: 1.0pt; mso-ansi-language: EN-US; mso-fareast-language: ZH-CN; mso-bidi-language: AR-SA; mso-fareast-font-family: 宋体\\\><span style=\\\mso-text-raise: -5.0pt\\\><v:shapetype id=\\\_x0000_t75\\\ stroked=\\\f\\\ filled=\\\f\\\ path=\\\m@4@5l@4@11@9@11@9@5xe\\\ o:preferrelative=\\\t\\\ o:spt=\\\75\\\ coordsize=\\\21600,21600\\\>[-1,0)</v:shapetype></span></span></p>
    B.(0,1]
    C.[-1,+1]
    D.R
13.<font face=\\\Arial\\\>题目:<img height=\\\61\\\ width=\\\404\\\ alt=\\\\\\ src=\\\\\\ /></font>          (满分:4)
    A.A
    B.B
    C.C
    D.D
14.<font face=\\\Arial\\\>题目:</font><img height=\\\29\\\ width=\\\363\\\ alt=\\\\\\ src=\\\\\\ />          (满分:4)
    A.<span style=\\\FONT-SIZE: 10.5pt; FONT-FAMILY: 宋体; mso-bidi-font-size: 12.0pt; mso-ascii-font-family: 'Times New Roman'; mso-hansi-font-family: 'Times New Roman'; mso-bidi-font-family: 'Times New Roman'; mso-font-kerning: 1.0pt; mso-ansi-language: EN-US; mso-fareast-language: ZH-CN; mso-bidi-language: AR-SA\\\>奇函数</span>
    B.<span style=\\\FONT-SIZE: 10.5pt; FONT-FAMILY: 宋体; mso-bidi-font-size: 12.0pt; mso-ascii-font-family: 'Times New Roman'; mso-hansi-font-family: 'Times New Roman'; mso-bidi-font-family: 'Times New Roman'; mso-font-kerning: 1.0pt; mso-ansi-language: EN-US; mso-fareast-language: ZH-CN; mso-bidi-language: AR-SA\\\>偶函数</span>
    C.<span style=\\\FONT-SIZE: 10.5pt; FONT-FAMILY: 宋体; mso-bidi-font-size: 12.0pt; mso-ascii-font-family: 'Times New Roman'; mso-hansi-font-family: 'Times New Roman'; mso-bidi-font-family: 'Times New Roman'; mso-font-kerning: 1.0pt; mso-ansi-language: EN-US; mso-fareast-language: ZH-CN; mso-bidi-language: AR-SA\\\>非奇非偶函数</span>
    D.<span style=\\\FONT-SIZE: 10.5pt; FONT-FAMILY: 宋体; mso-bidi-font-size: 12.0pt; mso-ascii-font-family: 'Times New Roman'; mso-hansi-font-family: 'Times New Roman'; mso-bidi-font-family: 'Times New Roman'; mso-font-kerning: 1.0pt; mso-ansi-language: EN-US; mso-fareast-language: ZH-CN; mso-bidi-language: AR-SA\\\>以上均不对</span>
15.<font face=\\\Arial\\\>题目:<img height=\\\28\\\ width=\\\373\\\ alt=\\\\\\ src=\\\\\\ /></font>          (满分:4)
    A.12
    B.8
    C.4
    D.0
16.<font face=\\\Arial\\\>题目:<img height=\\\76\\\ width=\\\328\\\ alt=\\\\\\ src=\\\\\\ /></font>          (满分:4)
    A.A
    B.B
    C.C
    D.D
17.<font face=\\\Arial\\\>题目:<img height=\\\78\\\ width=\\\465\\\ alt=\\\\\\ src=\\\\\\ /></font>          (满分:4)
    A.A
    B.B
    C.C
    D.D
18.<font face=\\\Arial\\\>题目:<img height=\\\70\\\ width=\\\467\\\ alt=\\\\\\ src=\\\\\\ /></font>          (满分:4)
    A.A
    B.B
    C.C
    D.D
19.<font face=\\\Arial\\\>题目:<img height=\\\81\\\ width=\\\527\\\ alt=\\\\\\ src=\\\\\\ /></font>          (满分:4)
    A.A
    B.B
    C.C
    D.D
20.<font face=\\\Arial\\\>题目:<img height=\\\80\\\ width=\\\448\\\ alt=\\\\\\ src=\\\\\\ /></font>          (满分:4)
    A.A
    B.B
    C.C
    D.D
21.<font face=\\\Arial\\\>题目:<img height=\\\61\\\ width=\\\476\\\ alt=\\\\\\ src=\\\\\\ /></font>          (满分:4)
    A.A
    B.B
    C.C
    D.D
22.<font face=\\\Arial\\\>题目:<img height=\\\77\\\ width=\\\520\\\ alt=\\\\\\ src=\\\\\\ /></font>          (满分:4)
    A.A
    B.B
    C.C
    D.D
23.<font face=\\\Arial\\\>题目:<img height=\\\27\\\ width=\\\305\\\ alt=\\\\\\ src=\\\\\\ /></font>          (满分:4)
    A.<p>(1,1)</p>
    B.<p>(1,-1)</p>
    C.(-1,1)
    D.(-1,-1)
24.<font face=\\\Arial\\\>题目:<img height=\\\100\\\ width=\\\461\\\ alt=\\\\\\ src=\\\\\\ /></font>          (满分:4)
    A.A
    B.B
    C.C
    D.D
25.<font face=\\\Arial\\\>题目:<img height=\\\29\\\ width=\\\373\\\ alt=\\\\\\ src=\\\\\\ /></font>          (满分:4)
    A.<span style=\\\FONT-SIZE: 10.5pt; FONT-FAMILY: 宋体; mso-bidi-font-size: 12.0pt; mso-ascii-font-family: 'Times New Roman'; mso-hansi-font-family: 'Times New Roman'; mso-bidi-font-family: 'Times New Roman'; mso-font-kerning: 1.0pt; mso-ansi-language: EN-US; mso-fareast-language: ZH-CN; mso-bidi-language: AR-SA\\\>奇函数</span>
    B.<span style=\\\FONT-SIZE: 10.5pt; FONT-FAMILY: 宋体; mso-bidi-font-size: 12.0pt; mso-ascii-font-family: 'Times New Roman'; mso-hansi-font-family: 'Times New Roman'; mso-bidi-font-family: 'Times New Roman'; mso-font-kerning: 1.0pt; mso-ansi-language: EN-US; mso-fareast-language: ZH-CN; mso-bidi-language: AR-SA\\\>偶函数</span>
    C.<span style=\\\FONT-SIZE: 10.5pt; FONT-FAMILY: 宋体; mso-bidi-font-size: 12.0pt; mso-ascii-font-family: 'Times New Roman'; mso-hansi-font-family: 'Times New Roman'; mso-bidi-font-family: 'Times New Roman'; mso-font-kerning: 1.0pt; mso-ansi-language: EN-US; mso-fareast-language: ZH-CN; mso-bidi-language: AR-SA\\\>非奇非偶函数</span>
    D.<span style=\\\FONT-SIZE: 10.5pt; FONT-FAMILY: 宋体; mso-bidi-font-size: 12.0pt; mso-ascii-font-family: 'Times New Roman'; mso-hansi-font-family: 'Times New Roman'; mso-bidi-font-family: 'Times New Roman'; mso-font-kerning: 1.0pt; mso-ansi-language: EN-US; mso-fareast-language: ZH-CN; mso-bidi-language: AR-SA\\\>以上均不对</span>

《高等数学(Ⅰ)(上)2029》17秋在线作业1答案.rar

2.16 KB, 下载次数: 6, 下载积分: 贡献 1

售价: 2 金币  [记录]  [购买]

《高等数学(Ⅰ)(上)2029》17秋在线作业2答案.rar

2.09 KB, 下载次数: 13, 下载积分: 贡献 1

售价: 2 金币  [记录]  [购买]

快速回复 返回顶部 返回列表