[在线作业] 川大《高等数学(Ⅰ)(上)1187A》17秋在线作业12

[复制链接]
发表于 2017-11-6 16:30:30 | 显示全部楼层 |阅读模式
《高等数学(Ⅰ)(上)1187A》17秋在线作业1
一、单选题:
1.<font face=\\\Arial\\\>题目:<img height=\\\92\\\ width=\\\441\\\ alt=\\\\\\ src=\\\\\\ /></font>          (满分:4)
    A.A
    B.B
    C.C
    D.D
2.<font face=\\\Arial\\\>题目:</font><img height=\\\71\\\ width=\\\519\\\ alt=\\\\\\ src=\\\\\\ />          (满分:4)
    A.A
    B.B
    C.C
    D.D
3.下列函数中,求导正确的是          (满分:4)
    A.<IMG SRC=\\\\\\></IMG>
    B.<IMG SRC=\\\\\\></IMG>
    C.<IMG SRC=\\\\\\></IMG>
    D.<IMG SRC=\\\\\\></IMG>
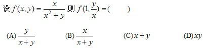
4.题目:<img height=\\\95\\\ width=\\\407\\\ alt=\\\\\\ src=\\\\\\ />          (满分:4)
    A.A
    B.B
    C.C
    D.D
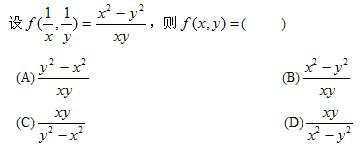
5.<font face=\\\Arial\\\>题目:<img height=\\\180\\\ width=\\\533\\\ alt=\\\\\\ src=\\\\\\ /></font>          (满分:4)
    A.A
    B.B
    C.C
    D.D
6.<font face=\\\Arial\\\>题目:</font><img height=\\\76\\\ width=\\\333\\\ alt=\\\\\\ src=\\\\\\ />          (满分:4)
    A.A
    B.B
    C.C
    D.D
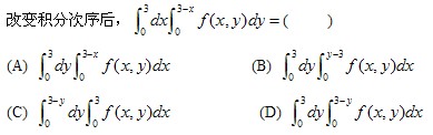
7.题目:<img height=\\\58\\\ width=\\\413\\\ alt=\\\\\\ src=\\\\\\ />          (满分:4)
    A.A
    B.B
    C.C
    D.D
8.题目:<img height=\\\45\\\ width=\\\283\\\ alt=\\\\\\ src=\\\\\\ />          (满分:4)
    A.0
    B.1
    C.2
    D.3
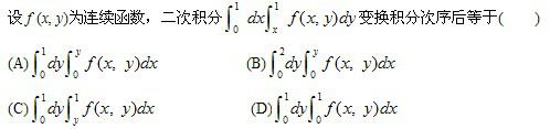
9.<font face=\\\Arial\\\>题目:<img height=\\\117\\\ width=\\\498\\\ alt=\\\\\\ src=\\\\\\ /></font>          (满分:4)
    A.A
    B.B
    C.C
    D.D
10.题目:<img height=\\\149\\\ width=\\\361\\\ alt=\\\\\\ src=\\\\\\ />          (满分:4)
    A.A
    B.B
    C.C
    D.D
11.题目:<img height=\\\92\\\ width=\\\483\\\ alt=\\\\\\ src=\\\\\\ />          (满分:4)
    A.A
    B.B
    C.C
    D.D
12.<font face=\\\Arial\\\>题目:</font><img height=\\\100\\\ width=\\\454\\\ alt=\\\\\\ src=\\\\\\ />          (满分:4)
    A.A
    B.B
    C.C
    D.D
13.<font face=\\\Arial\\\>题目:</font><img height=\\\66\\\ width=\\\504\\\ alt=\\\\\\ src=\\\\\\ />          (满分:4)
    A.A
    B.B
    C.C
    D.D
14.题目:<img height=\\\91\\\ width=\\\472\\\ alt=\\\\\\ src=\\\\\\ />          (满分:4)
    A.A
    B.B
    C.C
    D.D
15.下列结论中,( )是正确的          (满分:4)
    A.函数的极值点一定是驻点
    B.函数的驻点一定是极值点
    C.函数在极值点一定连续
    D.函数的极值点不一定可导
16.下列各对函数中,( )是相同的          (满分:4)
    A.<IMG SRC=\\\\\\></IMG>
    B.<IMG SRC=\\\\\\></IMG>
    C.<IMG SRC=\\\\\\></IMG>
    D.<IMG SRC=\\\\\\></IMG>
17.<font face=\\\Arial\\\>题目:</font><img height=\\\85\\\ width=\\\476\\\ alt=\\\\\\ src=\\\\\\ />          (满分:4)
    A.A
    B.B
    C.C
    D.D
18.<font face=\\\Arial\\\>题目:</font><img height=\\\46\\\ width=\\\156\\\ alt=\\\\\\ src=\\\\\\ />          (满分:4)
    A.3
    B.0
    C.1
    D.2
19.<font face=\\\Arial\\\>题目:<img height=\\\55\\\ width=\\\480\\\ alt=\\\\\\ src=\\\\\\ /></font>          (满分:4)
    A.A
    B.B
    C.C
    D.D
20.<font face=\\\Arial\\\>题目:<img height=\\\74\\\ width=\\\451\\\ alt=\\\\\\ src=\\\\\\ /></font>          (满分:4)
    A.A
    B.B
    C.C
    D.D
21.题目:<img height=\\\75\\\ width=\\\469\\\ alt=\\\\\\ src=\\\\\\ />          (满分:4)
    A.A
    B.B
    C.C
    D.D
22.<font face=\\\Arial\\\>题目:<img height=\\\27\\\ width=\\\265\\\ alt=\\\\\\ src=\\\\\\ /></font>          (满分:4)
    A.-3
    B.-2
    C.-1
    D.0
23.题目:<img alt=\\\\\\ src=\\\\\\ />          (满分:4)
    A.A
    B.B
    C.C
    D.D
24.<IMG SRC=\\\\\\></IMG>          (满分:4)
    A.F(x)=G(x)
    B.F(x)=G(x)+C
    C.F(x)+G(x)=C
    D.以上都不对
25.题目:<img height=\\\87\\\ width=\\\523\\\ alt=\\\\\\ src=\\\\\\ />          (满分:4)
    A.A
    B.B
    C.C
    D.D
《高等数学(Ⅰ)(上)1187A》17秋在线作业2

一、单选题:
1.<font face=\\\Arial\\\>题目:</font><img height=\\\74\\\ width=\\\444\\\ alt=\\\\\\ src=\\\\\\ />          (满分:4)
    A.A
    B.B
    C.C
    D.D
2.<font face=\\\Arial\\\>题目:<img height=\\\92\\\ width=\\\441\\\ alt=\\\\\\ src=\\\\\\ /></font>          (满分:4)
    A.A
    B.B
    C.C
    D.D
3.题目:<img height=\\\75\\\ width=\\\469\\\ alt=\\\\\\ src=\\\\\\ />          (满分:4)
    A.A
    B.B
    C.C
    D.D
4.题目:<img height=\\\115\\\ width=\\\348\\\ alt=\\\\\\ src=\\\\\\ />          (满分:4)
    A.A
    B.B
    C.C
    D.D
5.题目:<img height=\\\58\\\ width=\\\413\\\ alt=\\\\\\ src=\\\\\\ />          (满分:4)
    A.A
    B.B
    C.C
    D.D
6.题目:<img height=\\\95\\\ width=\\\407\\\ alt=\\\\\\ src=\\\\\\ />          (满分:4)
    A.A
    B.B
    C.C
    D.D
7.<font face=\\\Arial\\\>题目:</font><img height=\\\122\\\ width=\\\486\\\ alt=\\\\\\ src=\\\\\\ />          (满分:4)
    A.A
    B.B
    C.C
    D.D
8.<font face=\\\Arial\\\>题目:<img height=\\\32\\\ width=\\\492\\\ alt=\\\\\\ src=\\\\\\ /></font>          (满分:4)
    A.25
    B.26
    C.27
    D.28
9.<font face=\\\Arial\\\>题目:<img height=\\\180\\\ width=\\\533\\\ alt=\\\\\\ src=\\\\\\ /></font>          (满分:4)
    A.A
    B.B
    C.C
    D.D
10.题目:<img height=\\\91\\\ width=\\\472\\\ alt=\\\\\\ src=\\\\\\ />          (满分:4)
    A.A
    B.B
    C.C
    D.D
11.<font face=\\\Arial\\\>题目:</font><img height=\\\100\\\ width=\\\454\\\ alt=\\\\\\ src=\\\\\\ />          (满分:4)
    A.A
    B.B
    C.C
    D.D
12.下列函数中,求导正确的是          (满分:4)
    A.<IMG SRC=\\\\\\></IMG>
    B.<IMG SRC=\\\\\\></IMG>
    C.<IMG SRC=\\\\\\></IMG>
    D.<IMG SRC=\\\\\\></IMG>
13.题目:<img height=\\\96\\\ width=\\\455\\\ alt=\\\\\\ src=\\\\\\ />          (满分:4)
    A.A
    B.B
    C.C
    D.D
14.题目:<img height=\\\112\\\ width=\\\441\\\ alt=\\\\\\ src=\\\\\\ />          (满分:4)
    A.A
    B.B
    C.C
    D.D
15.题目:<img height=\\\92\\\ width=\\\483\\\ alt=\\\\\\ src=\\\\\\ />          (满分:4)
    A.A
    B.B
    C.C
    D.D
16.<font face=\\\Arial\\\>题目:</font><img height=\\\76\\\ width=\\\333\\\ alt=\\\\\\ src=\\\\\\ />          (满分:4)
    A.A
    B.B
    C.C
    D.D
17.题目:<img height=\\\52\\\ width=\\\377\\\ alt=\\\\\\ src=\\\\\\ />          (满分:4)
    A.-1
    B.0
    C.1
    D.不存在
18.下列各对函数中,( )是相同的          (满分:4)
    A.<IMG SRC=\\\\\\></IMG>
    B.<IMG SRC=\\\\\\></IMG>
    C.<IMG SRC=\\\\\\></IMG>
    D.<IMG SRC=\\\\\\></IMG>
19.<IMG SRC=\\\\\\></IMG>          (满分:4)
    A.F(x)=G(x)
    B.F(x)=G(x)+C
    C.F(x)+G(x)=C
    D.以上都不对
20.题目:<img height=\\\122\\\ width=\\\389\\\ alt=\\\\\\ src=\\\\\\ />          (满分:4)
    A.A
    B.B
    C.C
    D.D
21.<font face=\\\Arial\\\>题目:<img height=\\\27\\\ width=\\\265\\\ alt=\\\\\\ src=\\\\\\ /></font>          (满分:4)
    A.-3
    B.-2
    C.-1
    D.0
22.题目:<img height=\\\30\\\ width=\\\274\\\ alt=\\\\\\ src=\\\\\\ />          (满分:4)
    A.<span style=\\\FONT-SIZE: 10.5pt; COLOR: black; FONT-FAMILY: 宋体; mso-bidi-font-size: 12.0pt; mso-ascii-font-family: 'Times New Roman'; mso-hansi-font-family: 'Times New Roman'; mso-bidi-font-family: 'Times New Roman'; mso-font-kerning: 1.0pt; mso-ansi-language: EN-US; mso-fareast-language: ZH-CN; mso-bidi-language: AR-SA\\\>充分条件,但不是必要条件</span>
    B.<span style=\\\FONT-SIZE: 10.5pt; COLOR: black; FONT-FAMILY: 宋体; mso-bidi-font-size: 12.0pt; mso-ascii-font-family: 'Times New Roman'; mso-hansi-font-family: 'Times New Roman'; mso-bidi-font-family: 'Times New Roman'; mso-font-kerning: 1.0pt; mso-ansi-language: EN-US; mso-fareast-language: ZH-CN; mso-bidi-language: AR-SA\\\>必要条件,但不是充分条件</span>
    C.<span style=\\\FONT-SIZE: 10.5pt; COLOR: black; FONT-FAMILY: 宋体; mso-bidi-font-size: 12.0pt; mso-ascii-font-family: 'Times New Roman'; mso-hansi-font-family: 'Times New Roman'; mso-bidi-font-family: 'Times New Roman'; mso-font-kerning: 1.0pt; mso-ansi-language: EN-US; mso-fareast-language: ZH-CN; mso-bidi-language: AR-SA\\\>充分必要条件</span>
    D.<span style=\\\FONT-SIZE: 10.5pt; COLOR: black; FONT-FAMILY: 宋体; mso-bidi-font-size: 12.0pt; mso-ascii-font-family: 'Times New Roman'; mso-hansi-font-family: 'Times New Roman'; mso-bidi-font-family: 'Times New Roman'; mso-font-kerning: 1.0pt; mso-ansi-language: EN-US; mso-fareast-language: ZH-CN; mso-bidi-language: AR-SA\\\>既不是充分条件也不是必要条件</span>
23.下列结论中,( )是正确的          (满分:4)
    A.函数的极值点一定是驻点
    B.函数的驻点一定是极值点
    C.函数在极值点一定连续
    D.函数的极值点不一定可导
24.题目:<img height=\\\99\\\ width=\\\460\\\ alt=\\\\\\ src=\\\\\\ />          (满分:4)
    A.A
    B.B
    C.C
    D.D
25.题目:<img height=\\\31\\\ width=\\\368\\\ alt=\\\\\\ src=\\\\\\ />          (满分:4)
    A.<span style=\\\FONT-SIZE: 10.5pt; FONT-FAMILY: 宋体; mso-bidi-font-size: 12.0pt; mso-ascii-font-family: 'Times New Roman'; mso-hansi-font-family: 'Times New Roman'; mso-bidi-font-family: 'Times New Roman'; mso-font-kerning: 1.0pt; mso-ansi-language: EN-US; mso-fareast-language: ZH-CN; mso-bidi-language: AR-SA\\\>奇函数</span>
    B.<span style=\\\FONT-SIZE: 10.5pt; FONT-FAMILY: 宋体; mso-bidi-font-size: 12.0pt; mso-ascii-font-family: 'Times New Roman'; mso-hansi-font-family: 'Times New Roman'; mso-bidi-font-family: 'Times New Roman'; mso-font-kerning: 1.0pt; mso-ansi-language: EN-US; mso-fareast-language: ZH-CN; mso-bidi-language: AR-SA\\\>偶函数</span>
    C.<span style=\\\FONT-SIZE: 10.5pt; FONT-FAMILY: 宋体; mso-bidi-font-size: 12.0pt; mso-ascii-font-family: 'Times New Roman'; mso-hansi-font-family: 'Times New Roman'; mso-bidi-font-family: 'Times New Roman'; mso-font-kerning: 1.0pt; mso-ansi-language: EN-US; mso-fareast-language: ZH-CN; mso-bidi-language: AR-SA\\\>非奇非偶函数</span>
    D.<span style=\\\FONT-SIZE: 10.5pt; FONT-FAMILY: 宋体; mso-bidi-font-size: 12.0pt; mso-ascii-font-family: 'Times New Roman'; mso-hansi-font-family: 'Times New Roman'; mso-bidi-font-family: 'Times New Roman'; mso-font-kerning: 1.0pt; mso-ansi-language: EN-US; mso-fareast-language: ZH-CN; mso-bidi-language: AR-SA\\\>以上均不对</span>

《高等数学(Ⅰ)(上)1187A》17秋在线作业1答案.rar

1.72 KB, 下载次数: 2, 下载积分: 贡献 1

售价: 2 金币  [记录]  [购买]

《高等数学(Ⅰ)(上)1187A》17秋在线作业2答案.rar

2.04 KB, 下载次数: 2, 下载积分: 贡献 1

售价: 2 金币  [记录]  [购买]

快速回复 返回顶部 返回列表