扫一扫关注官方微信
请登录
注册
快捷导航
热搜:
在线作业
天大
南开
大作业
大工 22年
手机版
首页
无忧答案网
在线作业
离线作业
复习资料
免费答案
帮助中心
Help
本版
帖子
用户
请
登录
后使用快捷导航
没有账号?
注册
当前位置:
首页
›
远程网院作业答案
›
天津大学网络教育学院
›
天津大学网院线性代数(专)第1234次作业答案 ...
刚刚去过
发布帖子
天津大学网院线性代数(专)第1234次作业答案
[复制链接]
黄老师
黄老师
当前离线
发消息
查看详细资料
积分
1817
发表于
2017-4-22 01:03:10
|
显示全部楼层
|
阅读模式
底部有附件的就是帖子内容答案,需要可以下载
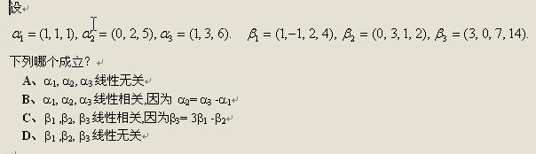
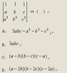
线性代数(专)第1次作业
1
2
3
4
5
线性代数(专)第2次作业
1
2
3
4
5
线性代数(专)第3次作业
1
2
3
4
5
线性代数(专)第4次作业
1
2
3
4
5
天津大学
,
线性代数
,
作业
,
答案
相关帖子
西南大学2023年6月[0319]思想政治教育学大作业
西南大学2023年6月[0409]《司法文书》大作业
西南大学2023年6月[0380]人才学大作业
西南大学2023年6月[0094]化学实验教学研究大作业
西南大学2023年6月[0086]综合英语二大作业
西南大学2023年6月[0077]英译汉大作业
西南大学2023年6月[0072]数据库技术大作业
西南大学2023年6月[0067]分析化学(定量)大作业
西南大学2023年6月[0065]英语阅读二大作业
西南大学2023年6月[0062]教育与心理统计学大作业
奥鹏在线作业/离线作业辅导qq 1647861640
回复
举报
1881174
1881174
当前离线
发消息
查看详细资料
积分
12
发表于
2017-5-1 13:23:54
|
显示全部楼层
底部有附件的就是帖子内容答案,需要可以下载
无忧网不错,哈哈
奥鹏在线作业/离线作业辅导qq 1647861640
回复
举报
lilylee
lilylee
当前离线
发消息
查看详细资料
积分
4
发表于
2017-5-26 14:00:29
|
显示全部楼层
底部有附件的就是帖子内容答案,需要可以下载
需要答案,没有看到附件呢?
奥鹏在线作业/离线作业辅导qq 1647861640
回复
举报
张老师
张老师
当前离线
发消息
查看详细资料
积分
857
发表于
2017-5-26 14:24:32
|
显示全部楼层
lilylee 发表于 2017-5-26 14:00
需要答案,没有看到附件呢?
网院的作业都是随机的 都只辅导
回复
举报
刚刚去过
浏览过的版块
北京理工大学
中国石油大学北京网院(石大远程)
中国石油大学(华东)
无忧答案网
Copyright © 2024-2026
无忧在线题库
免责声明: 本网不承担任何由内容提供商提供的信息所引起的争议和法律责任。
Powered by
5u.studio
X3.5 技术支持:
无忧答案
冀ICP备18010495号-1
快速回复
返回顶部
返回列表