扫一扫关注官方微信
请登录
注册
快捷导航
热搜:
在线作业
天大
南开
大作业
大工 22年
手机版
首页
无忧答案网
在线作业
离线作业
复习资料
免费答案
帮助中心
Help
本版
帖子
用户
请
登录
后使用快捷导航
没有账号?
注册
当前位置:
首页
›
作业答案资讯
›
免费作业答案
›
天津大学13春《概率论与数理统计》在线作业一 ...
刚刚去过
发布帖子
天津大学13春《概率论与数理统计》在线作业一
[复制链接]
黄老师
黄老师
当前离线
发消息
查看详细资料
积分
1817
发表于
2013-4-9 13:18:28
|
显示全部楼层
|
阅读模式
底部有附件的就是帖子内容答案,需要可以下载
《概率论与数理统计》在线作业一
一、单选题(共 20 道试题,共 100 分。)
V
1.
题面见图片
A. A
B. B
C. C
D. D
满分:5 分
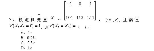
2.
题面见图片
A. A
B. B
C. C
D. D
满分:5 分
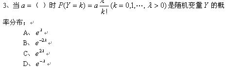
3.
题面见图片
A. A
B. B
C. C
D. D
满分:5 分
4.
题面见图片
A. A
B. B
C. C
D. D
满分:5 分
5.
题面见图片
A. A
B. B
C. C
D. D
满分:5 分
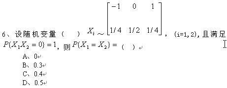
6.
题面见图片
A. A
B. B
C. C
D. D
满分:5 分
7.
题面见图片
A. A
B. B
C. C
D. D
满分:5 分
8.
题面见图片
A. A
B. B
C. C
D. D
满分:5 分
9.
题面见图片
A. A
B. B
C. C
D. D
满分:5 分
10.
题面见图片
A. A
B. B
C. C
D. D
满分:5 分
11.
题面见图片
A. A
B. B
C. C
D. D
满分:5 分
12.
题面见图片
A. A
B. B
C. C
D. D
满分:5 分
13.
题面见图片
A. A
B. B
C. C
D. D
满分:5 分
14.
题面见图片
A. A
B. B
C. C
D. D
满分:5 分
15.
题面见图片
A. A
B. B
C. C
D. D
满分:5 分
16.
题面见图片
A. A
B. B
C. C
D. D
满分:5 分
17.
题面见图片
A. A
B. B
C. C
D. D
满分:5 分
18.
题面见图片
A. A
B. B
C. C
D. D
满分:5 分
19.
题面见图片
A. A
B. B
C. C
D. D
满分:5 分
20.
题面见图片
A. A
B. B
C. C
D. D
满分:5 分
天津大学
,
数理统计
,
在线
,
作业
相关帖子
西南大学2023年6月[0319]思想政治教育学大作业
西南大学2023年6月[0409]《司法文书》大作业
西南大学2023年6月[0380]人才学大作业
西南大学2023年6月[0094]化学实验教学研究大作业
西南大学2023年6月[0086]综合英语二大作业
西南大学2023年6月[0077]英译汉大作业
西南大学2023年6月[0072]数据库技术大作业
西南大学2023年6月[0067]分析化学(定量)大作业
西南大学2023年6月[0065]英语阅读二大作业
西南大学2023年6月[0062]教育与心理统计学大作业
奥鹏在线作业/离线作业辅导qq 1647861640
回复
举报
刚刚去过
浏览过的版块
中国石油大学(华东)
电大形考
福建师范大学
无忧答案网
Copyright © 2024-2026
无忧在线题库
免责声明: 本网不承担任何由内容提供商提供的信息所引起的争议和法律责任。
Powered by
5u.studio
X3.5 技术支持:
无忧答案
冀ICP备18010495号-1
快速回复
返回顶部
返回列表