[在线作业] 川大12春《电工原理(Ⅰ)》1344第1、2次作业答案

[复制链接]
发表于 2012-5-23 08:10:20 | 显示全部楼层 |阅读模式
川大12春《电工原理(Ⅰ)》第1次作业
一、单选题:
1. 三 相电 源对 称,三 相 负 载不对 称,当 负 载星形 连 接无中线时,各负 载 相电压    (满分:2)
    A. 相等
    B. 不相等
    C. 无法判断
2. 没有串联电阻的 电 压 源 和没有并联电阻的 电 流 源 间    (满分:2)
    A. 有  效变换关系
    B. 没 有 等 效 变 换 关 系
    C. 有 条 件 下 的 等 效 变 换 关 系
3. 供 电 电 路 采 取 提 高 功 率 因 数 措 施 的 目 的 在 于    (满分:2)
    A. 减 少 用 电 设 备 的 有 功 功 率
    B. 减 少 用 电 设 备 的 无 功 功 率
    C. 减 少 电 源 向 用 电 设 备 提 供 的 视 在 功 率
4. 图 示 电 路 中,试判断两线圈的同名端    (满分:2)
    A. 1,2
    B. 1,4
    C. 1,3
5. 电场中各点的电位是相对的,与参考点    (满分:2)
    A. 有关系
    B. 没关系
    C. 可能有关系可能没关系
6. 有 一 对 称 星 形 负 载 接 于 线 电 压 为 380 V 的 三 相 四 线 制 电 源 上, 如 图 所 示。当 在 M 点 断 开 时,U1  为    (满分:2)
    A. 220V
    B. 380V
    C. 190V
7. 直流电源电路中,电路处于稳定状态,流过电容的电流为    (满分:2)
    A. ic=0
    B. <IMG SRC="http://file.open.com.cn/Lms/ItemDBAttachments/image/singleselect/jiaoxuecd/20070329/9987fad4.JPG"></IMG>
    C. ic = Is
8.     (满分:2)
    A. 0度
    B. +30度
    C. -30度
9. 在R.L串联正弦交流电路中,计算公式正确的是    (满分:2)
    A. <IMG SRC="http://file.open.com.cn/Lms/ItemDBAttachments/image/singleselect/jiaoxuecd/20070402/cc5912f0.JPG"></IMG>
    B. <IMG SRC="http://file.open.com.cn/Lms/ItemDBAttachments/image/singleselect/jiaoxuecd/20070402/26d9821e.JPG"></IMG>
    C. <IMG SRC="http://file.open.com.cn/Lms/ItemDBAttachments/image/singleselect/jiaoxuecd/20070402/844a8f20.JPG"></IMG>
10. 已 知 图 示 电 路 中 的 US =2 V, IS = 2 A。电 阻 R1  和 R2  消 耗 的 功 率 由 (    )供 给    (满分:2)
    A. 电 压 源
    B. 电 流 源
    C. 电 压 源 和 电 流 源
11. 某 三 角 形 连 接 的 三 相 对 称 负 载 接 于 三 相 对 称 电 源, 线 电 流 与 其 对 应 的 相 电 流 的 相 位 关 系 是    (满分:2)
    A. 线 电 流 导 前 相 电 流 30
    B. 线 电 流 滞 后 相 电 流 30
    C. 两 者 同 相
12.     (满分:2)
    A. 7A
    B. 1A
    C. -1A
13.     (满分:2)
    A. <IMG SRC="http://file.open.com.cn/Lms/ItemDBAttachments/image/singleselect/jiaoxuecd/20070329/9654be2d.JPG"></IMG>
    B. <IMG SRC="http://file.open.com.cn/Lms/ItemDBAttachments/image/singleselect/jiaoxuecd/20070329/6de75808.JPG"></IMG>
    C. <IMG SRC="http://file.open.com.cn/Lms/ItemDBAttachments/image/singleselect/jiaoxuecd/20070329/48ed05aa.JPG"></IMG>
14. 图 示 电 路 在 稳 定 状 态 下 闭 合 开 关 S,该 电 路    (满分:2)
    A. 不 产 生 过 渡 过 程,因 为 换 路 未 引 起 L 的 电 流 发 生 变 化
    B. 要 产 生 过 渡 过 程,因 为 电 路 发 生 换 路
    C. 要 发 生 过 渡 过 程,因 为 电 路 有 储 能 元 件 且 发 生 换 路
15. RC电路的零输入响应是指电容有初始储能,换路后(    )独立源作用    (满分:2)
    A. 有
    B. 没有
    C. 可能有可能没有
16. 在 图 示 电 路 中,各 电 阻 值 和 US 值 均 已 知。欲 用 支 路 电 流 法 求 解 流 过 电 阻 RG  的 电 流 IG,需 列 出 独 立 的 电 流 方 程 数 和 电 压 方 程 数 分 别 为    (满分:2)
    A. 4 和 3
    B. 3 和 3
    C. 3 和 4
17.     (满分:2)
    A. <IMG SRC="http://file.open.com.cn/Lms/ItemDBAttachments/image/singleselect/jiaoxuecd/20070402/41a11791.JPG"></IMG>
    B. <IMG SRC="http://file.open.com.cn/Lms/ItemDBAttachments/image/singleselect/jiaoxuecd/20070402/08a0c75d.JPG"></IMG>
    C. <IMG SRC="http://file.open.com.cn/Lms/ItemDBAttachments/image/singleselect/jiaoxuecd/20070402/b40db19a.JPG"></IMG>
18. 铁磁物质的相对磁导率ur    (满分:2)
    A. 是常数
    B. 很大
    C. 0
19.     (满分:2)
    A. <IMG SRC="http://file.open.com.cn/Lms/ItemDBAttachments/image/singleselect/jiaoxuecd/20070402/cc29979e.JPG"></IMG>
    B. <IMG SRC="http://file.open.com.cn/Lms/ItemDBAttachments/image/singleselect/jiaoxuecd/20070402/c6cf4f42.JPG"></IMG>
    C. <IMG SRC="http://file.open.com.cn/Lms/ItemDBAttachments/image/singleselect/jiaoxuecd/20070402/e1f8552b.JPG"></IMG>
20.     (满分:2)
    A. 0 A
    B. <IMG SRC="http://file.open.com.cn/Lms/ItemDBAttachments/image/singleselect/jiaoxuecd/20070402/54826ec3.JPG"></IMG>
    C. <IMG SRC="http://file.open.com.cn/Lms/ItemDBAttachments/image/singleselect/jiaoxuecd/20070402/a3e49118.JPG"></IMG>
21. 某 电 阻 元 件 的 电 阻 值 R = 1 k , 额 定 功 率 PN=2.5 W。正 常 使 用 时 允 许 流 过 的 最 大 电 流 为    (满分:2)
    A. 50 mA
    B. 2.5 A
    C. 250 mA
22.     (满分:2)
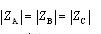
    A. Z1 与 Z2 的 阻 抗 角 相 差正负90
    B. Z1 与 Z2 的 阻 抗 角 不 相 等
    C. Z1 与 Z2 无 任 何 约 束 条 件
23. 电流的实际方向与参考方向相同时为    (满分:2)
    A. 无法确定
    B. 负
    C. 正
24. 电感线圈的电压瞬时值与电流的(     )成正比    (满分:2)
    A. 有效值
    B. 最大值
    C. 变化率
25.     (满分:2)
    A. 0 V
    B. 0.5 V
    C. 1 V
26. R,C 电 路 在 零 状 态 条 件 下,时 间 常 数 的 意 义 是    (满分:2)
    A. 响 应 由 零 值 增 长 到 稳 态 值 的 0.632 倍 时 所 需 时 间
    B. 响 应 由 零 值 增 长 到 稳 态 值 的 0.368 倍 时 所 需 时 间
    C. 过 渡 过 程 所 需 的 时 间
27. 图 示 电 路 正 处 于 谐 振 状 态,闭 合 S 后,电 压 表 V 的 读 数 将    (满分:2)
    A. 增大
    B. 减小
    C. 不变
28. 在 图 示 电 路 中,已 知 US = 2 V,IS = 2 A。A、B 两 点 间 的 电 压 UAB  为     (满分:2)
    A. 1V
    B. -1V
    C. -2V
29. 某一电路,节点数n,支路数b,用支路电流法求解,可以列出(       )个回路电压方程    (满分:2)
    A. n
    B. b
    C. b-(n-1)
30.     (满分:2)
    A. 适 用 于 任 何 电 流
    B. 适 用 于 任 何 周 期 性 电 流
    C. 仅 适 用 于 正 弦 电 流
31. 三 相 交 流 发 电 机 的 三 个 绕 组 接 成 星 形 时, 若 线 电 压  ,则 相 电 压 uA =    (满分:2)
    A. <IMG SRC="http://file.open.com.cn/Lms/ItemDBAttachments/image/singleselect/jiaoxuecd/20070329/f35f2e05.JPG"></IMG>
    B. <IMG SRC="http://file.open.com.cn/Lms/ItemDBAttachments/image/singleselect/jiaoxuecd/20070329/ed1d3585.JPG"></IMG>
    C. <IMG SRC="http://file.open.com.cn/Lms/ItemDBAttachments/image/singleselect/jiaoxuecd/20070329/08916e12.JPG"></IMG>
32. 在 三 相 交 流 电 路 中,负 载 对 称 的 条 件 是    (满分:2)
    A. <IMG SRC="http://file.open.com.cn/Lms/ItemDBAttachments/image/singleselect/jiaoxuecd/20070329/83200f69.JPG"></IMG>
    B. <IMG SRC="http://file.open.com.cn/Lms/ItemDBAttachments/image/singleselect/jiaoxuecd/20070329/36f63293.JPG"></IMG>
    C. <IMG SRC="http://file.open.com.cn/Lms/ItemDBAttachments/image/singleselect/jiaoxuecd/20070329/5f893f45.JPG"></IMG>
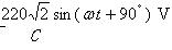
33. 已 知 某 电 路 的 电 压 相 量 ,电 流 相 量 ,则 电 路 的 无 功 功 率 Q 为    (满分:2)
    A. 500 Var
    B. <IMG SRC="http://file.open.com.cn/Lms/ItemDBAttachments/image/singleselect/jiaoxuecd/20070402/1091d4bb.JPG"></IMG>
    C. 250 Var
34.     (满分:2)
    A. 10 m A
    B. -10 m A
    C. 0 m A
35.     (满分:2)
    A. 20 V
    B. <IMG SRC="http://file.open.com.cn/Lms/ItemDBAttachments/image/singleselect/jiaoxuecd/20070402/0596ef69.JPG"></IMG>
    C. 0 V
36. 在 图 示 电 路 中,用 量 程 为 10 V,内 阻 为 2 k  V 级 的 直 流 电 压 表 ,测 得 A、B 两 点 间 的 电 压 UAB = 4 V ,则 直 流 理 想 电 压 源 US  的 值 为     (满分:2)
    A. 12V
    B. 8V
    C. 6V
37. 在 图 示 电 路 中 ,当 开 关 S 断 开 时,电 压 U = 10 V ,当 S 闭 合 后 ,电 流 I = 1 ,则 该 有 源 二 端 线 性 网 络 的 等 效 电 压 源 的 内 阻 值 为    (满分:2)
    A. 16欧 
    B. 8欧
    C. 4欧
38. 正 弦 电 流 通 过 电 容 元 件 时,下 列 关 系 式 中 正 确 的 是    (满分:2)
    A. <IMG SRC="http://file.open.com.cn/Lms/ItemDBAttachments/image/singleselect/jiaoxuecd/20070329/8c3b1d34.JPG"></IMG>
    B. <IMG SRC="http://file.open.com.cn/Lms/ItemDBAttachments/image/singleselect/jiaoxuecd/20070329/70121ca6.JPG"></IMG>
    C. <IMG SRC="http://file.open.com.cn/Lms/ItemDBAttachments/image/singleselect/jiaoxuecd/20070329/03b1fdfe.JPG"></IMG>
39. R,L,C 串 联 电 路 原 处 于 感 性 状 态,今 保 持 频 率 不 变 欲 调 节 可 变 电 容 使 其 进 入 谐 振 状 态,则 电 容 值    (满分:2)
    A. 必须增大
    B. 必须减小
    C. 不能预知其增减
40. R,C 电 路 外 部 激 励 为 零, 而 由 初 始 储 能 引 起 的 响 应 称 为 (      ) 响 应    (满分:2)
    A. 稳态
    B. 零输入
    C. 零状态
41. 交流铁芯线圈的铁损是:    (满分:2)
    A. 磁滞损耗
    B. 涡流损耗
    C. 磁滞损耗和涡流损耗
42. 在R,L串联正弦交流电路中,计算公式正确的是    (满分:2)
    A. <IMG SRC="http://file.open.com.cn/Lms/ItemDBAttachments/image/singleselect/jiaoxuecd/20070402/1d3a1d0c.JPG"></IMG>
    B. <IMG SRC="http://file.open.com.cn/Lms/ItemDBAttachments/image/singleselect/jiaoxuecd/20070402/bc0b7eaa.JPG"></IMG>
    C. <IMG SRC="http://file.open.com.cn/Lms/ItemDBAttachments/image/singleselect/jiaoxuecd/20070402/50fba016.JPG"></IMG>
43. 为了减小交流铁心线圈的铁心损耗,线圈铁心由彼此绝缘的硅钢片叠成,主要是为了减小(      )损耗    (满分:2)
    A. 涡流
    B. 磁滞损耗和涡流损耗
    C. 磁滞损耗
44. 处 于 谐 振 状 态 的 R,L,C 并 联 电 路 若 增 大 L 值,则 电 路 将 呈 现    (满分:2)
    A. 电 阻 性
    B. 电 感 性
    C. 电 容 性
45. 直流电压源的电压与外电路    (满分:2)
    A. 有关系
    B. 没关系
    C. 有时候没关系有时候有关系
46. 铁磁物质的起始磁化曲线是    (满分:2)
    A. 直线
    B. 磁滞回线
    C. 曲线
47. 两线圈顺向串联的等效电感为    (满分:2)
    A. L’eq =L1+L2+M
    B. L’eq =L1+L2+2M
    C. L’eq =L1+L2-2M
48. 在R、L串联正弦交流电路中,计算公式正确的是    (满分:2)
    A. <IMG SRC="http://file.open.com.cn/Lms/ItemDBAttachments/image/singleselect/jiaoxuecd/20070402/d80ccaf3.JPG"></IMG>
    B. <IMG SRC="http://file.open.com.cn/Lms/ItemDBAttachments/image/singleselect/jiaoxuecd/20070402/265752f1.JPG"></IMG>
    C. <IMG SRC="http://file.open.com.cn/Lms/ItemDBAttachments/image/singleselect/jiaoxuecd/20070402/ac389225.JPG"></IMG>
49.     (满分:2)
    A. 4.84 kW
    B. 14.5 kW
    C. 8.38 kW
50. 正 弦 交 流 电 路 中,当 5  电 阻 与 8.66  感 抗 串 联 时,电 感 电 压 导 前 总 电 压 的 相 位 为    (满分:2)
    A. 60度
    B. 30度
    C. -30度
转载请注明奥鹏作业答案www.ap5u.com
川大12春《电工原理(Ⅰ)》第2次作业
一、单选题:
1. 某一电路,节点数n,支路数b,用支路电流法求解,可以列出(       )个回路电压方程    (满分:2)
    A. n
    B. b
    C. b-(n-1)
2. 图 示 电 路 正 处 于 谐 振 状 态,闭 合 S 后,电 压 表 V 的 读 数 将    (满分:2)
    A. 增大
    B. 减小
    C. 不变
3. 在R.C串联正弦交流电路中,计算公式正确的是    (满分:2)
    A. <IMG SRC="http://file.open.com.cn/Lms/ItemDBAttachments/image/singleselect/jiaoxuecd/20070402/7d5b7f34.JPG"></IMG>
    B. <IMG SRC="http://file.open.com.cn/Lms/ItemDBAttachments/image/singleselect/jiaoxuecd/20070402/73d49b84.JPG"></IMG>
    C. <IMG SRC="http://file.open.com.cn/Lms/ItemDBAttachments/image/singleselect/jiaoxuecd/20070402/b046b3d8.JPG"></IMG>
4. 电压的实际方向与参考方向相反时为    (满分:2)
    A. 无法确定
    B. 负
    C. 正
5. 弱磁性物质的相对磁导率ur    (满分:2)
    A. 是常数
    B. 很大
    C. 0
6. 已 知 某 电 路 的 电 压 相 量 ,电 流 相 量 ,则 电 路 的 无 功 功 率 Q 为    (满分:2)
    A. 500 Var
    B. <IMG SRC="http://file.open.com.cn/Lms/ItemDBAttachments/image/singleselect/jiaoxuecd/20070402/1091d4bb.JPG"></IMG>
    C. 250 Var
7. 交流铁芯线圈的铁损是:    (满分:2)
    A. 磁滞损耗
    B. 涡流损耗
    C. 磁滞损耗和涡流损耗
8.     (满分:2)
    A. <IMG SRC="http://file.open.com.cn/Lms/ItemDBAttachments/image/singleselect/jiaoxuecd/20070402/cc29979e.JPG"></IMG>
    B. <IMG SRC="http://file.open.com.cn/Lms/ItemDBAttachments/image/singleselect/jiaoxuecd/20070402/c6cf4f42.JPG"></IMG>
    C. <IMG SRC="http://file.open.com.cn/Lms/ItemDBAttachments/image/singleselect/jiaoxuecd/20070402/e1f8552b.JPG"></IMG>
9. 正 弦 交 流 电 路 中,当 5  电 阻 与 8.66  感 抗 串 联 时,电 感 电 压 导 前 总 电 压 的 相 位 为    (满分:2)
    A. 60度
    B. 30度
    C. -30度
10. 电流的实际方向与参考方向相同时为    (满分:2)
    A. 无法确定
    B. 负
    C. 正
11. 在 图 示 电 路 中,A 点开路,当 开 关 S 闭合 时 A 点 的 电 位 VA    (满分:2)
    A. 3 V
    B. -6 V
    C. 0 V
12. 交流铁心线圈的磁滞损耗与磁滞回线    (满分:2)
    A. 成正比
    B. 成反比
    C. 无关
13. 在 图 示 电 路 中,A 点开路,当 开 关 S 断开 时 A 点 的 电 位 VA    (满分:2)
    A. 3v
    B. -6v
    C. 0v
14. 在 图 示 电 路 中,用 量 程 为 10 V,内 阻 为 2 k  V 级 的 直 流 电 压 表 ,测 得 A、B 两 点 间 的 电 压 UAB = 4 V ,则 直 流 理 想 电 压 源 US  的 值 为     (满分:2)
    A. 12V
    B. 8V
    C. 6V
15.     (满分:2)
    A. -18v
    B. 18v
    C. -6v
16. 正 弦 电 流 通 过 电 容 元 件 时,下 列 关 系 式 中 正 确 的 是    (满分:2)
    A. <IMG SRC="http://file.open.com.cn/Lms/ItemDBAttachments/image/singleselect/jiaoxuecd/20070329/8c3b1d34.JPG"></IMG>
    B. <IMG SRC="http://file.open.com.cn/Lms/ItemDBAttachments/image/singleselect/jiaoxuecd/20070329/70121ca6.JPG"></IMG>
    C. <IMG SRC="http://file.open.com.cn/Lms/ItemDBAttachments/image/singleselect/jiaoxuecd/20070329/03b1fdfe.JPG"></IMG>
17. 两线圈顺向串联的等效电感为    (满分:2)
    A. L’eq =L1+L2+M
    B. L’eq =L1+L2+2M
    C. L’eq =L1+L2-2M
18.     (满分:2)
    A. <IMG SRC="http://file.open.com.cn/Lms/ItemDBAttachments/image/singleselect/jiaoxuecd/20070402/8c450088.JPG"></IMG>
    B. <IMG SRC="http://file.open.com.cn/Lms/ItemDBAttachments/image/singleselect/jiaoxuecd/20070402/19d66653.JPG"></IMG>
    C. <IMG SRC="http://file.open.com.cn/Lms/ItemDBAttachments/image/singleselect/jiaoxuecd/20070402/27b16583.JPG"></IMG>
19. 三 相电 源对 称,三 相 负 载不对 称,当 负 载星形 连 接有中线时,各负 载 相 电 流不相等,中线中(       )电 流    (满分:2)
    A. 无法知道
    B. 没有
    C. 有
20. 并联谐振时,电感电流与电容电流比总电流大许多倍,所以并联谐振又叫(    )谐振    (满分:2)
    A. 电压
    B. 电流
    C. 电感电流与电容电流不等
21.     (满分:2)
    A. <IMG SRC="http://file.open.com.cn/Lms/ItemDBAttachments/image/singleselect/jiaoxuecd/20070402/c9faafe1.JPG"></IMG>
    B. <IMG SRC="http://file.open.com.cn/Lms/ItemDBAttachments/image/singleselect/jiaoxuecd/20070402/360c7ff6.JPG"></IMG>
    C. <IMG SRC="http://file.open.com.cn/Lms/ItemDBAttachments/image/singleselect/jiaoxuecd/20070402/55e57760.JPG"></IMG>
22. 有 一 对 称 星 形 负 载 接 于 线 电 压 为 380 V 的 三 相 四 线 制 电 源 上, 如 图 所 示。当 在 M 点 断 开 时,U1  为    (满分:2)
    A. 220V
    B. 380V
    C. 190V
23. RC电路的零状态响应是指电容没有初始储能,换路后(  )独立源作用    (满分:2)
    A. 可能有可能没有
    B. 没有
    C. 有
24. 电流的实际方向与参考方向相反时为    (满分:2)
    A. 无法确定
    B. 负
    C. 正
25.     (满分:2)
    A. <IMG SRC="http://file.open.com.cn/Lms/ItemDBAttachments/image/singleselect/jiaoxuecd/20070402/c8560d88.JPG"></IMG>
    B. <IMG SRC="http://file.open.com.cn/Lms/ItemDBAttachments/image/singleselect/jiaoxuecd/20070402/5b73d35d.JPG"></IMG>
    C. <IMG SRC="http://file.open.com.cn/Lms/ItemDBAttachments/image/singleselect/jiaoxuecd/20070402/f119852c.JPG"></IMG>
26.     (满分:2)
    A. 0 A
    B. <IMG SRC="http://file.open.com.cn/Lms/ItemDBAttachments/image/singleselect/jiaoxuecd/20070402/54826ec3.JPG"></IMG>
    C. <IMG SRC="http://file.open.com.cn/Lms/ItemDBAttachments/image/singleselect/jiaoxuecd/20070402/a3e49118.JPG"></IMG>
27.     (满分:2)
    A. 7A
    B. 1A
    C. -1A
28. 处 于 谐 振 状 态 的 R,L,C 并 联 电 路 若 增 大 L 值,则 电 路 将 呈 现    (满分:2)
    A. 电 阻 性
    B. 电 感 性
    C. 电 容 性
29. 已 知 白 炽 灯 A 和 B 的 额 定 电 压 相 等,但 A 的 额 定 功 率 大 于 B 的 额 定 功 率。现 将 A 和 B 串 联 后 连 接 在 某 一 电 源 上,则 白 炽 灯 A 上 的 电 压 降    (满分:2)
    A. 较大
    B. 较小
    C. 不确定
30.     (满分:2)
    A. Z1 与 Z2 的 阻 抗 角 相 差正负90
    B. Z1 与 Z2 的 阻 抗 角 不 相 等
    C. Z1 与 Z2 无 任 何 约 束 条 件
31.     (满分:2)
    A. 20 V
    B. <IMG SRC="http://file.open.com.cn/Lms/ItemDBAttachments/image/singleselect/jiaoxuecd/20070402/0596ef69.JPG"></IMG>
    C. 0 V
32. 铁磁物质的磁导率u    (满分:2)
    A. 是常数
    B. 不是常数
    C. 0
33.     (满分:2)
    A. 380
    B. <IMG SRC="http://file.open.com.cn/Lms/ItemDBAttachments/image/singleselect/jiaoxuecd/20070402/32327076.JPG"></IMG>
    C. 220
34. 在 图 示 电 路 中 ,A、B 间 电 压 为 12 V ,当 将 电 流 源 移 走 后 ,测 得 有 源 二 端 线 性 网 络 的 开 路 电 压 UAB = 8 V ,则 该 有 源 二 端 线 性 网 络 的 等 效 电 压 源 的 内 阻 值 为    (满分:2)
    A. 4欧
    B. 2欧
    C. 1欧
35. 为了减小交流铁心线圈的铁心损耗,线圈铁心由彼此绝缘的硅钢片叠成,主要是为了减小(      )损耗    (满分:2)
    A. 涡流
    B. 磁滞损耗和涡流损耗
    C. 磁滞损耗
36. 把 图 1 所 示 的 电 路 用 图 2 所 示 的 等 效 电 压 源 代 替,则 等 效 电 压 源 的 参 数 为     (满分:2)
    A. <IMG SRC="http://file.open.com.cn/Lms/ItemDBAttachments/image/singleselect/jiaoxuecd/20070402/07f47f50.JPG"></IMG>
    B. <IMG SRC="http://file.open.com.cn/Lms/ItemDBAttachments/image/singleselect/jiaoxuecd/20070402/216baef6.JPG"></IMG>
    C. <IMG SRC="http://file.open.com.cn/Lms/ItemDBAttachments/image/singleselect/jiaoxuecd/20070402/7cc90984.JPG"></IMG>
37. 某 电 阻 元 件 的 电 阻 值 R = 1 k , 额 定 功 率 PN=2.5 W。正 常 使 用 时 允 许 流 过 的 最 大 电 流 为    (满分:2)
    A. 50 mA
    B. 2.5 A
    C. 250 mA
38.     (满分:2)
    A. 6v
    B. 5v
    C. 4v
39.     (满分:2)
    A. 电压源
    B. 电流源
    C. 电 压 源 和 电 流 源
40. 串联谐振时,电感电压与电容电压比电源电压大许多倍,所以串联谐振又叫(       )谐振    (满分:2)
    A. 电压
    B. 电流
    C. 电感电压与电容电压不相等
41.     (满分:2)
    A. <IMG SRC="http://file.open.com.cn/Lms/ItemDBAttachments/image/singleselect/jiaoxuecd/20070329/9654be2d.JPG"></IMG>
    B. <IMG SRC="http://file.open.com.cn/Lms/ItemDBAttachments/image/singleselect/jiaoxuecd/20070329/6de75808.JPG"></IMG>
    C. <IMG SRC="http://file.open.com.cn/Lms/ItemDBAttachments/image/singleselect/jiaoxuecd/20070329/48ed05aa.JPG"></IMG>
42. R,C 电 路 在 零 状 态 条 件 下,时 间 常 数 的 意 义 是    (满分:2)
    A. 响 应 由 零 值 增 长 到 稳 态 值 的 0.632 倍 时 所 需 时 间
    B. 响 应 由 零 值 增 长 到 稳 态 值 的 0.368 倍 时 所 需 时 间
    C. 过 渡 过 程 所 需 的 时 间
43. 互感系数,简称互感,其单位是    (满分:2)
    A. L
    B. <IMG SRC="http://file.open.com.cn/Lms/ItemDBAttachments/image/singleselect/jiaoxuecd/20070402/62617c9e.JPG"></IMG>
    C. H
44. 电感线圈的电压瞬时值与电流的(     )成正比    (满分:2)
    A. 有效值
    B. 最大值
    C. 变化率
45. RC电路的零输入响应是指电容有初始储能,换路后(    )独立源作用    (满分:2)
    A. 有
    B. 没有
    C. 可能有可能没有
46. 某 三 相 交 流 发 电 机 绕 组 接 成 星 形 时 相 电 压 为 6.3 kV,若 将 它 接 成 三 角 形,则相 电 压 为    (满分:2)
    A. 6.3 kV
    B. 10.9 kV
    C. 3.64 kV
47. 星形连 接 的 三 相 对 称 负 载,接 于 三 相 对 称 电 源 上,线 电 流 与 相 电 流 之 比 为    (满分:2)
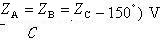
    A. <IMG SRC="48. 三 相电 源对 称,三 相 负 载不对 称,当 负 载星形 连 接无中线时,各负 载 相电压    (满分:2)
    A. 相等
    B. 不相等
    C. 无法判断
49. 图 示 电 路 在 稳 定 状 态 下 闭 合 开 关 S,该 电 路    (满分:2)
    A. 不 产 生 过 渡 过 程,因 为 换 路 未 引 起 L 的 电 流 发 生 变 化
    B. 要 产 生 过 渡 过 程,因 为 电 路 发 生 换 路
    C. 要 发 生 过 渡 过 程,因 为 电 路 有 储 能 元 件 且 发 生 换 路
50.     (满分:2)
    A    C. 250 Var
转载请注明奥鹏作业答案网 www.ap5u.com

《电工原理(Ⅰ)》第1次作业.rar

2.67 KB, 下载次数: 2, 下载积分: 贡献 1

售价: 1 金币  [记录]  [购买]

《电工原理(Ⅰ)》第2次作业.rar

2.43 KB, 下载次数: 2, 下载积分: 贡献 1

售价: 1 金币  [记录]  [购买]

快速回复 返回顶部 返回列表