[在线作业] 吉大19春学期《计算方法》在线作业12

[复制链接]
发表于 2019-5-14 19:39:36 | 显示全部楼层 |阅读模式
吉大19春学期《计算方法》在线作业一
奥鹏作业答案可以联系QQ 761296021
1.[单选题]秦九韶算法的特点在于,它通过一次式的反复计算,逐步得出高次多项式的值,具体地说就是将一个n次多项式的求值问题,归结为重复计算(   )个一次式来实现。
    A.n
    B.n-1
    C.n+1
    D.n*n
    正确答案:——A——
2.[单选题]若 x = 1.345678,|x*-x|=0.00041... ,则x*的近似数x 具有(    )位有效数字.
    A.1
    B.2
    C.3
    D.4
    正确答案:——D——
3.[单选题]题面如下所示,正确的是:
    A.A
    B.B
    C.C
    D.D
    正确答案:——C——
4.[单选题]差商形式插值公式称为(    )
    A.牛顿插值公式
    B.拉格朗日插值公式
    C.分段插值公式
    D.埃尔米特插值公式
    正确答案:————
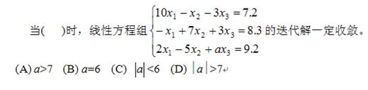
5.[单选题]题面如下图所示,正确的是(   )
    A.A
    B.B
    C.C    无忧答案网
    D.D
    正确答案:————
6.[单选题]为了保证插值函数能更好地密合原来的函数,不但要求“过点”,即两者在节点上具有相同的函数值,而且要求“相切”,即在节点上还具有相同的导数值,这类插值称为(  )
    A.牛顿插值
    B.埃尔米特插值
    C.分段插值
    D.拉格朗日插值
    正确答案:————
7.[单选题](   )的优点是收敛的速度快,缺点是需要提供导数值。
    A.牛顿法
    B.下山法
    C.弦截法
    D.迭代法
    正确答案:————
8.[单选题]3.142和3.141分别作为π的近似数具有( )位有效数字
    A.4和3
    B.3和2
    C.3和4
    D.4和4
    正确答案:————
9.[单选题]常用的折线函数是简单(    )次样条函数
    A.零
    B.一
    C.二
    D.三
    正确答案:————
10.[单选题]改进的平方根法,亦称为(    )
    A.约当消去法
    B.高斯消去法
    C.追赶法
    D.乔累斯基方法
    正确答案:————
11.[单选题]以下近似值中,保留四位有效数字,
    A. 0.01234
    B.–12.34
    C.–2.20
    D.0.2200
    正确答案:————
12.[单选题]设求方程f(x)=0的根的牛顿法收敛,则它具有(    )敛速。
    A.超线性
    B.平方
    C.线性
    D.三次
    正确答案:————
13.[单选题]常用的阶梯函数是简单的(    )次样条函数。
    A.零
    B.一
    C.二
    D.三
    正确答案:————
14.[单选题]题面如下,正确的是(  )
    A.A
    B.B
    C.C
    D.D
    正确答案:————
15.[单选题]所谓松弛法,实质上是(   )的一种加速方法。
    A.雅可比迭代
    B.高斯-赛得尔迭代
    C.变分迭代
    D.牛顿迭代
    正确答案:————
16.[判断题]在研究算法时,不需要注重误差分析。
    A.错误
    B.正确
    正确答案:————
17.[判断题]若A为对角占优阵,则它是非奇异的。
    A.错误
    B.正确
    正确答案:————
18.[判断题]已知数a的有效数位0.01,则它的绝对误差限为0.005
    A.错误
    B.正确
    正确答案:————
19.[判断题]二次插值的精度高于线性插值。
    A.错误
    B.正确
    正确答案:————
20.[判断题]求积公式至少具有n次代数精度的充分必要条件是,它是插值型的。
    A.错误
    B.正确
    正确答案:————
21.[判断题]线性插值虽然只利用了两个节点上的信息,但是精度却比较高。
    A.错误
    B.正确
    正确答案:————
22.[判断题]区间[a,b]上的三次样条函数是一个次数不超过三次的多项式。
    A.错误
    B.正确
    正确答案:————
23.[判断题]插值的外推过程是不可靠的。
    A.错误
    B.正确
    正确答案:————
24.[判断题]多项式插值被认为是最好的逼近工具之一。
    A.错误
    B.正确
    正确答案:————
25.[判断题]按四舍五入原则数2.7182818与8.000033具有五位有效数字的近似值分别为2.7183和8.00000
    A.错误
    B.正确
    正确答案:————
吉大19春学期《计算方法》在线作业二
1.[单选题]数值3.1416的有效位数为(    )
    A.3
    B.4
    C.5
    D.6
    正确答案:——C——
2.[单选题]常用的阶梯函数是简单的(    )次样条函数。
    A.零
    B.一
    C.二
    D.三
    正确答案:——A——
3.[单选题]设求方程f(x)=0的根的牛顿法收敛,则它具有(    )敛速。
    A.超线性
    B.平方
    C.线性
    D.三次
    正确答案:——C——
4.[单选题]构造拟合曲线不可以采用下列哪种准则(   )
    A.使残差的最大绝对值为最小
    B.使残差的绝对值之和为最小
    C.使残差的平方和为最小
    D.是残差的绝对值之差为最小
    正确答案:————
5.[单选题]欧拉法的局部截断误差阶为(    )。
    A.A
    B.B
    C.C
    D.D
    正确答案:————
6.[单选题]依据3个样点(0,1),(1,2)(2,3),其插值多项式p(x)为(    )
    A.x
    B.x+1
    C.x-1
    D.x+2
    正确答案:————
7.[单选题]题面如下,正确的是(  )
    A.2
    B.3
    C.-2
    D.1
    正确答案:————
8.[单选题]题面如下图所示,正确的是(  )
    A.A
    B.B
    C.C
    D.D
    正确答案:————
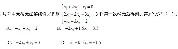
9.[单选题]用列主元消去法解线性方程组,
    A.3
    B.4
    C.-4
    D.9
    正确答案:————
10.[单选题]利用克莱姆法则求解行列式时,求解一个n阶方程组,需要(  )个n阶行列式。
    A.n
    B.n+1
    C.n-1
    D.n*n
    正确答案:————
11.[单选题]线性方程组的解法大致可以分为(   )
    A.直接法和间接法
    B.直接法和替代法
    C.直接法和迭代法
    D.间接法和迭代法
    正确答案:————
12.[单选题](   )的优点是收敛的速度快,缺点是需要提供导数值。
    A.牛顿法
    B.下山法
    C.弦截法
    D.迭代法
    正确答案:————
13.[单选题]设x* = 1.234是真值x = 1.23445的近似值,则x*有(   )位有效数字。
    A.1
    B.2
    C.3
    D.4
    正确答案:————
14.[单选题]若a=2.42315是2.42247的近似值,则a有(     )位有效数字.
    A.1
    B.2
    C.3
    D.4
    正确答案:————
15.[单选题]所谓松弛法,实质上是(   )的一种加速方法。
    A.雅可比迭代
    B.高斯-赛得尔迭代
    C.变分迭代
    D.牛顿迭代
    正确答案:————
16.[判断题]多项式插值被认为是最好的逼近工具之一。
    A.错误
    B.正确
    正确答案:————
17.[判断题]迭代法的优点是算法简单,因而编制程序比较容易。
    A.错误
    B.正确
    正确答案:————
18.[判断题]若方阵A的谱半径p(A)<1 ,则解方程组Ax=b 的Jacobi迭代法收敛。
    A.错误
    B.正确
    正确答案:————
19.[判断题]数值计算中主要研究的误差有相对误差和绝对误差。
    A.错误
    B.正确
    正确答案:————
20.[判断题]同分段线性插值相比较,分段三次埃尔米特插值的逼近效果没有明显的改善。
    A.错误
    B.正确
    正确答案:————
21.[判断题]在插值节点较多的情况下,运用埃特金算法,会增加插值次数。
    A.错误
    B.正确
    正确答案:————
22.[判断题]插值的外推过程是不可靠的。
    A.错误
    B.正确
    正确答案:————
23.[判断题]求积公式至少具有n次代数精度的充分必要条件是,它是插值型的。
    A.错误
    B.正确
    正确答案:————
24.[判断题]两个相近的数相减,会造成有效数字的严重损失。
    A.错误
    B.正确
    正确答案:————
25.[判断题]若f(a)f(b)<0,则f(x)=0 在(a,b) 内一定有根。 (   )
    A.错误
    B.正确
    正确答案:————
附件是答案,请核对题目下载

吉大19春学期《计算方法》在线作业二答案.zip

1.92 KB, 下载次数: 2, 下载积分: 贡献 1

售价: 2 金币  [记录]  [购买]

答案

吉大19春学期《计算方法》在线作业一答案.zip

1.98 KB, 下载次数: 2, 下载积分: 贡献 1

售价: 2 金币  [记录]  [购买]

答案

快速回复 返回顶部 返回列表