|
|
东财《经济应用数学》在线作业一(随机)
随机作业请核对题目后下载 QQ 761296021
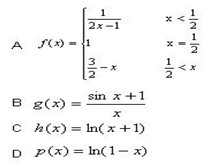
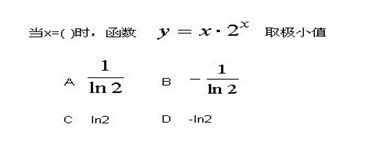
1.[单选题]P
A.A
B.B
C.C
D.D
正确答案:——C——
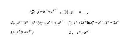
2.[单选题]设y=f (sinx),且f (x)可导,则dy=( )。
A.A
B.B
C.C
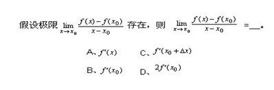
D.D
正确答案:——D——
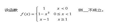
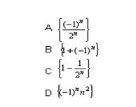
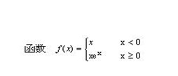
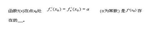
3.[单选题]P
A.f(x)在x=0处可导
B.f(x)在x=1处可导
C.f(x)在x=1处连续但不可导
D.曲线y=f(x)在x=0处的切线平行x轴
正确答案:——B——
4.[单选题]P
A.A
B.B
C.C
D.D
正确答案:————
5.[单选题]P
A.单调增加
B.单调减少
C.图形上凸
D.图形下凸
正确答案:————
6.[单选题]P
A.-4
B.-2
C.2
D.4
正确答案:————
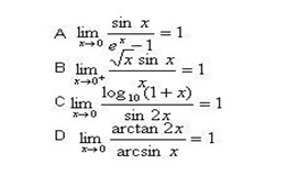
7.[单选题]下列极限中有一个成立,它是( )
A.A
B.B
C.C
D.D
正确答案:————
8.[单选题]P
A.单调增加
B.单调减少
C.不单调
D.不连续
正确答案:————
9.[单选题]P
A.x = -1
B.x = 1
C.x = 0
D.没有间断点
正确答案:————
10.[单选题]P
A.A
B.B
C.C
D.D
正确答案:————
11.[单选题]P
A.A
B.B
C.C
D.D
正确答案:————
12.[单选题]P
A.A 奥鹏作业答案 微信 761296021
B.B
C.C
D.D
正确答案:————
13.[单选题]下列函数中在闭区间[0 , 1]上有界的是( )
A.A
B.B
C.C
D.D
正确答案:————
14.[单选题]P
A.不存在
B.可能存在也可能不存在
C.为(B-A)
D.存在但不等于(B-A)
正确答案:————
15.[单选题]P
A.1
B.-1
C.-2
D.2
正确答案:————
16.[单选题]P
A.A
B.B
C.C
D.D
正确答案:————
17.[单选题]P
A.0
B.1
C.-1
D.2
正确答案:————
18.[单选题]下列函数中,周期函数为____
A.A
B.B
C.C
D.D
正确答案:————
19.[单选题]P
A.小于0
B.等与0
C.大于0
D.不存在
正确答案:————
20.[单选题]A={a、b、c},B={a、b、d},C={a、b、c、d},则A、B、C之间有关系____
A.A
B.B
C.C
D.D
正确答案:————
21.[单选题]下列结论正确的有___
A.A
B.B
C.C
D.D
正确答案:————
22.[单选题]P
A.A
B.B
C.C
D.D
正确答案:————
23.[单选题]P
A.A
B.B
C.C
D.D
正确答案:————
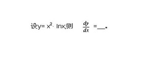
24.[单选题]P
A.2
B.2x· lnx
C.x
D.2x· lnx
正确答案:————
25.[单选题]A={1、2、3},则A的全部子集为元素组成的集合为____
A.φ,{1},{2},{3},{1,2},{1,3},{2,3}}
B.{1},{2},{3},{1,2},{1,3},{2,3}}
C.{1},{2},{3},{1,2},{1,3},{2,3},A}
D.{φ,{1},{2},{3},{1,2},{1,3},{2,3},A}
正确答案:————
东财《经济应用数学》在线作业三(随机)
1.[单选题]P
A.A
B.B
C.C
D.D
正确答案:——B——
2.[单选题]P
A.A
B.B
C.C
D.D
正确答案:——C——
3.[单选题]一枚硬币前后掷两次所出现可能结果的全部所组成的集合,可表示为___
A.{正面,反面}
B. {(正面,正面)、(反面,反面)}
C. {(正面,反面)、(反面,正面)}
D.{(正面,正面)、(反面,正面)、(正面,反面)、(反面,反面)}
正确答案:——D——
4.[单选题]P
A.有且仅有水平渐近线
B.有且仅有垂直渐近线
C.既有水平渐近线,也有垂直渐近线
D.既无水平渐近线,也无垂直渐近线
正确答案:————
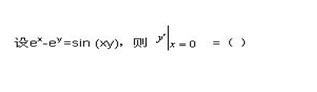
5.[单选题]设y=f (sinx),且f (x)可导,则dy=( )。
A.A
B.B
C.C
D.D
正确答案:————
6.[单选题]P
A.-6
B.0
C.1
D.3
正确答案:————
7.[单选题]P
A.A
B.B
C.C
D.D
正确答案:————
8.[单选题]A={1、2、3},则A的全部子集为元素组成的集合为____
A.φ,{1},{2},{3},{1,2},{1,3},{2,3}}
B.{1},{2},{3},{1,2},{1,3},{2,3}}
C.{1},{2},{3},{1,2},{1,3},{2,3},A}
D.{φ,{1},{2},{3},{1,2},{1,3},{2,3},A}
正确答案:————
9.[单选题]P
A.A
B.B
C.C
D.D
正确答案:————
10.[单选题]设A表示所有的被3除余1的整数组成的集合,则a=____时,有a∈A
A.2
B.12
C.-1
D.-2
正确答案:————
11.[单选题]P
A.A
B.B
C.C
D.D
正确答案:————
12.[单选题]P
A.A
B.B
C.C
D.D
正确答案:————
13.[单选题]p
A.A
B.B
C.C
D.D
正确答案:————
14.[单选题]集合A={±2,±3,±4,±5,±6}表示______
A.A是由绝对值小于等于6的全体整数组成的集合
B.A是由绝对值大于等于2,小于等于6的全体整数组成的集合
C.A是由全体整数组成的集合
D. A是由绝对值大于2,小于6的整数组成的
正确答案:————
15.[单选题]下列数列中单调有界的数列只有一个,它是( )
A.A
B.B
C.C
D.D
正确答案:————
16.[单选题]以直线x=0,x=1,y=0,y=1四条直线所围成的正方形内部所有点组成的集合D=___
A.{(x,y)∣0<x<1,0<y<1}
B.{(x,y)∣0≤x≤1,0<y<1}
C.{(x,y)∣0<x<1,0≤y≤1}
D.{(x,y)∣0≤x≤1,0≤y≤1}
正确答案:————
17.[单选题]P
A.不连续
B.连续但不可导
C.可导但不可微
D.可微
正确答案:————
18.[单选题]P
A.A
B.B
C.C
D.D
正确答案:————
19.[单选题]A={a、b、c、d},以下各关系表示不正确的是____
A.A
B.B
C.C
D.D
正确答案:————
20.[单选题]P
A.A
B.B
C.C
D.D
正确答案:————
21.[单选题]P
A.A
B.B
C.C
D.D
正确答案:————
22.[单选题]P
A.周期函数
B.单调函数
C.有界函数
D.无界函数
正确答案:————
23.[单选题]P
A.A
B.B
C.C
D.D
正确答案:————
24.[单选题]当x →∞时,f(x)的极限存在充分必要条件为( )
A.a
B.当x → -∞时 f(x)的极限存在,当x → +∞时 f(x)的极限也存在
C.当x → -∞时 f(x)的极限存在
D.当x → +∞时 f(x)的极限存在
正确答案:————
25.[单选题]P
A.与△x等价无穷小
B.与△x同阶无穷小
C.比△x低阶的无穷小
D.比△x高阶的无穷小
正确答案:————
东财《经济应用数学》在线作业二(随机)
1.[单选题]P
A.A
B.B
C.C
D.D
正确答案:——D——
2.[单选题]P
A.A
B.B
C.C
D.D
正确答案:——A——
3.[单选题]下列极限中,有一个是正确的,它是( )
A.A
B.B
C.C
D.D
正确答案:——A——
4.[单选题]在直线y=x下方所有的点组成的集合B=____
A.{(x,y)∣x≤y}
B. {(x,y)∣x=y}
C.{(x,y)∣x>y}
D.{(x,y)∣x≥y}
正确答案:————
5.[单选题]P
A.A
B.B
C.C
D.D
正确答案:————
6.[单选题]P
A.A
B.B
C.C
D.D
正确答案:————
7.[单选题]P
A.A
B.B
C.C
D.D
正确答案:————
8.[单选题]P
A.充分条件
B.必要条件
C.充分必要条件
D.既不充分也不必要条件
正确答案:————
9.[单选题]P
A.单调增加且有界
B.单调增加且无界
C.单调减少且有界
D.单调减少且无界
正确答案:————
10.[单选题]下列函数中,周期函数为____
A.A
B.B
C.C
D.D
正确答案:————
11.[单选题]P
A.A
B.B
C.C
D.D
正确答案:————
12.[单选题]A={a、b、c、d},以下各关系表示不正确的是____
A.A
B.B
C.C
D.D
正确答案:————
13.[单选题]P
A.上升且向上凸的
B.上升且向下凸的
C.下降且向下凸的
D.下降且向下凸的
正确答案:————
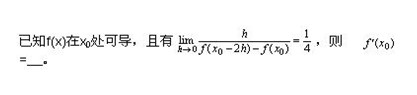
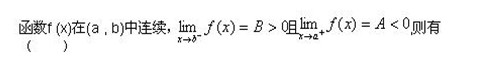
14.[单选题]P
A.f (x) = 0在(a ,b )中未必有实根
B.f (x) = 0在(a ,b )中必有实根
C.在(a , b)中f (x)≠0
D.在(a , b)中f (x) > 0
正确答案:————
15.[单选题]P
A.单调增加
B.单调减少
C.不单调
D.不连续
正确答案:————
16.[单选题]下列极限中有一个成立,它是( )
A.A
B.B
C.C
D.D
正确答案:————
17.[单选题]P
A.小于0
B.等与0
C.大于0
D.不存在
正确答案:————
18.[单选题]P
A.A
B.B
C.C
D.D
正确答案:————
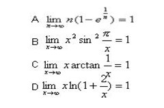
19.[单选题]下列极限式中,有一个是正确的,它是( )
A.A
B.B
C.C
D.D
正确答案:————
20.[单选题]P
A.A
B.B
C.C
D.D
正确答案:————
21.[单选题]P
A.A
B.B
C.C
D.D
正确答案:————
22.[单选题]P
A.至少有一个实根
B.没有实根
C.只有俩个实根
D.至少有俩个实根且至少有一正式跟和一个负实根
正确答案:————
23.[单选题]p
A.A
B.B
C.C
D.D
正确答案:————
24.[单选题]P
A.a=1,b=2
B.a=2,b=1
C.a=-2,b=-1
D.以上都不对
正确答案:————
25.[单选题]曲线y=sinx在x=π处的切线方程是____。
A.y-1=π-1
B.y+1=π-x
C.y=π-x
D.y=x-π
正确答案:————
附件是答案,请核对题目下载,转载注明 无忧答案网
|
|