[在线作业] 东财19春《微积分(下)》在线作业123

[复制链接]
发表于 2019-4-30 11:46:24 | 显示全部楼层 |阅读模式
东财《微积分(下)》在线作业一
奥鹏作业答案可以联系 微信 761296021
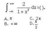
1.[单选题]∧
    A.0
    B.1
    C.2
    D.4
    正确答案:——D——
2.[单选题]如
    A.A
    B.B
    C.C
    D.D
    正确答案:——C——
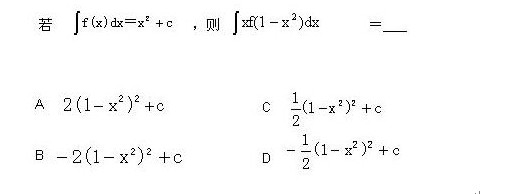
3.[单选题]P
    A.f(x)的一个原函数
    B.f(x)的全体原函数
    C.任意常数
    D.确定的常数
    正确答案:——D——
4.[单选题]P
    A.A
    B.B
    C.C
    D.D
    正确答案:————
5.[单选题]P
    A.A
    B.B
    C.C
    D.D
    正确答案:————
6.[单选题]P
    A.0
    B.2
    C.1
    D.-2
    正确答案:————
7.[单选题]在某区间上,若F(x)是函数f(x)的一个原函数,则___成立,其中C为任意常数。
    A.A
    B.B
    C.C
    D.D
    正确答案:————
8.[单选题]F
    A.A
    B.B
    C.C
    D.D
    正确答案:————
9.[单选题]如题:
    A.A
    B.B
    C.C
    D.D
    正确答案:————
10.[单选题]f
    A.A
    B.B
    C.C    奥鹏作业答案
    D.D
    正确答案:————
11.[单选题]∏
    A.A
    B.B
    C.C
    D.D
    正确答案:————
12.[单选题]F
    A.A
    B.B
    C.C
    D.D
    正确答案:————
13.[单选题]下列等式正确的有( )
    A.A
    B.B
    C.C
    D.D
    正确答案:————
14.[单选题]初等函数y=f(x)在其定义域[a,b]上一定( )。
    A.可导
    B.可微
    C.可积
    D.以上都不对
    正确答案:————
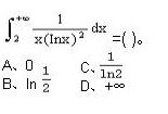
15.[单选题]下列无穷积分中收敛的是( )。
    A.A
    B.B
    C.C
    D.D
    正确答案:————
16.[单选题]P
    A.A
    B.B
    C.C
    D.D
    正确答案:————
17.[单选题]若F(x)是函数f (x)的任意一个原函数,则称___
    A.函数y=f (x)的图形为F(x)的一条积分曲线
    B.函数y=f (x)的图形为f(x)的一条积分曲线
    C.函数y=F(x)的图形为f(x)的一条积分曲线
    D.函数y=F(x)的图形为F(x)的一条积分曲线
    正确答案:————
18.[单选题]P
    A.A
    B.B
    C.C
    D.D
    正确答案:————
19.[单选题]如题
    A.A
    B.B
    C.C
    D.D
    正确答案:————
20.[单选题]P
    A.A
    B.B
    C.C
    D.D
    正确答案:————
21.[单选题]设C0、Q、MC分别表示固定成本、产量、边际成本,又a>0 ,则总成本函数表示为
    A.A
    B.B
    C.C
    D.D
    正确答案:————
22.[单选题]∧
    A.A
    B.B
    C.C
    D.D
    正确答案:————
23.[单选题]P
    A.A
    B.B
    C.C
    D.D
    正确答案:————
24.[单选题]如题:
    A.A
    B.B
    C.C
    D.D
    正确答案:————
25.[单选题]p
    A.A
    B.B
    C.C
    D.D
    正确答案:————
东财《微积分(下)》在线作业三
1.[单选题]∧
    A.A
    B.B
    C.C
    D.D
    正确答案:——C——
2.[单选题]如题
    A.A
    B.B
    C.C
    D.D
    正确答案:——D——
3.[单选题]初等函数y=f(x)在其定义域[a,b]上一定( )。
    A.可导
    B.可微
    C.可积
    D.以上都不对
    正确答案:——C——
4.[单选题]如题
    A.A
    B.B
    C.C
    D.D
    正确答案:————
5.[单选题]P
    A.A
    B.B
    C.C
    D.D
    正确答案:————
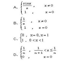
6.[单选题]下列函数中在区间[0,1]上不可积的是( )。
    A.A
    B.B
    C.C
    D.D
    正确答案:————
7.[单选题]P
    A.0
    B.1
    C.2
    D.4
    正确答案:————
8.[单选题]P
    A.A
    B.B
    C.C
    D.D
    正确答案:————
9.[单选题]P
    A.A
    B.B
    C.C
    D.D
    正确答案:————
10.[单选题]如题
    A.A
    B.B
    C.C
    D.D
    正确答案:————
11.[单选题]P
    A.A
    B.B
    C.C
    D.D
    正确答案:————
12.[单选题]p
    A.A
    B.B
    C.C
    D.D
    正确答案:————
13.[单选题]P
    A.A
    B.B
    C.C
    D.D
    正确答案:————
14.[单选题]下列广义积分中收敛的是( )。
    A.A
    B.B
    C.C
    D.D
    正确答案:————
15.[单选题]P
    A.A
    B.B
    C.C
    D.D
    正确答案:————
16.[单选题]P
    A.A
    B.B
    C.C
    D.D
    正确答案:————
17.[单选题]P
    A.A
    B.B
    C.C
    D.D
    正确答案:————
18.[单选题]P
    A.A
    B.B
    C.C
    D.D
    正确答案:————
19.[单选题]如题
    A.A
    B.B
    C.C
    D.D
    正确答案:————
20.[单选题]P
    A.A
    B.B
    C.C
    D.D
    正确答案:————
21.[单选题]如题:
    A.A
    B.B
    C.C
    D.D
    正确答案:————
22.[单选题]如题:
    A.A
    B.B
    C.C
    D.D
    正确答案:————
23.[单选题]P
    A.2
    B.1
    C.0
    D.-1
    正确答案:————
24.[单选题]P
    A.4
    B.6
    C.0
    D.12
    正确答案:————
25.[单选题]⊙
    A.A
    B.B
    C.C
    D.D
    正确答案:————
东财《微积分(下)》在线作业二
1.[单选题]下列积分正确的有( )。
    A.A
    B.B
    C.C
    D.D
    正确答案:——A——
2.[单选题]F
    A.A
    B.B
    C.C
    D.D
    正确答案:——B——
3.[单选题]P
    A.A
    B.B
    C.C
    D.D
    正确答案:——D——
4.[单选题]F
    A.A
    B.B
    C.C
    D.D
    正确答案:————
5.[单选题]如题:
    A.A
    B.B
    C.C
    D.D
    正确答案:————
6.[单选题]如题
    A.A
    B.B
    C.C
    D.D
    正确答案:————
7.[单选题]∧
    A.A
    B.B
    C.C
    D.D
    正确答案:————
8.[单选题]∧
    A.A
    B.B
    C.C
    D.D
    正确答案:————
9.[单选题]下列等式正确的有( )
    A.A
    B.B
    C.C
    D.D
    正确答案:————
10.[单选题]∧
    A.A
    B.B
    C.C
    D.D
    正确答案:————
11.[单选题]∧
    A.A
    B.B
    C.C
    D.D
    正确答案:————
12.[单选题]下列各式中,( )不正确。
    A.A
    B.B
    C.C
    D.D
    正确答案:————
13.[单选题]P
    A.A
    B.B
    C.C
    D.D
    正确答案:————
14.[单选题]∧
    A.A
    B.B
    C.C
    D.D
    正确答案:————
15.[单选题]如题
    A.A
    B.B
    C.C
    D.D
    正确答案:————
16.[单选题]如题:
    A.A
    B.B
    C.C
    D.D
    正确答案:————
17.[单选题]P
    A.A
    B.B
    C.C
    D.D
    正确答案:————
18.[单选题]P
    A.A
    B.B
    C.C
    D.D
    正确答案:————
19.[单选题]P
    A.A
    B.B
    C.C
    D.D
    正确答案:————
20.[单选题]函数sin4x的一个原函数是___
    A.A
    B.B
    C.C
    D.D
    正确答案:————
21.[单选题]F
    A.A
    B.B
    C.C
    D.D
    正确答案:————
22.[单选题]如题
    A.A
    B.B
    C.C
    D.D
    正确答案:————
23.[单选题]P
    A.A
    B.B
    C.C
    D.D
    正确答案:————
24.[单选题]⊙
    A.A
    B.B
    C.C
    D.D
    正确答案:————
25.[单选题]如题:
    A.A
    B.B
    C.C
    D.D
    正确答案:————
附件是答案,转载注明  奥鹏无忧答案网

东财《微积分(下)》在线作业二答案.zip

1.5 KB, 下载次数: 2, 下载积分: 贡献 1

售价: 2 金币  [记录]  [购买]

答案

东财《微积分(下)》在线作业三答案.zip

1.58 KB, 下载次数: 2, 下载积分: 贡献 1

售价: 2 金币  [记录]  [购买]

答案

东财《微积分(下)》在线作业一答案.zip

1.77 KB, 下载次数: 2, 下载积分: 贡献 1

售价: 2 金币  [记录]  [购买]

答案

快速回复 返回顶部 返回列表