|
|
东财《微积分(上)》在线作业一
奥鹏作业答案可以联系 微信 761296021
1.[单选题]曲线y=sinx在x=π处的切线方程是____。
A.y-1=π-1
B.y+1=π-x
C.y=π-x
D.y=x-π
正确答案:——C——
2.[单选题]下列数列收敛的有( )
A.A
B.B
C.C
D.D
正确答案:——D——
3.[单选题]若下列各极限均存在,其中不一定成立的是_____。
A.A
B.B
C.C
D.D
正确答案:——D——
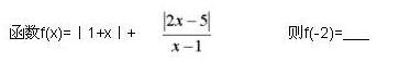
4.[单选题]如图:
A.4
B.8
C.-2
D.-4
正确答案:————
5.[单选题]A={x|x是有性质P},B={x|x是有性质Q},则以下表示法的正确的是___
A.A
B.B
C.C
D.D
正确答案:————
6.[单选题]如题:
A.高阶无穷小
B.等价无穷小
C.低阶无穷小
D.同阶无穷小
正确答案:————
7.[单选题]如图:
A.A
B.B
C.C
D.D
正确答案:————
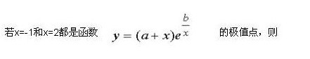
8.[单选题]如题: 
A.a=1,b=2
B.a=2,b=1
C.a=-2,b=-1
D.以上都不对
正确答案:————
9.[单选题]如题:
A.A
B.B
C.C
D.D
正确答案:————
10.[单选题]如图: 
A.A
B.B
C.C
D.D
正确答案:————
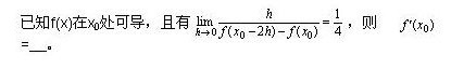
11.[单选题]如题: 
A.-4
B.-2
C.2
D.4
正确答案:————
12.[单选题]下列极限式中,有一个是正确的,它是( )
A.A 奥鹏作业答案
B.B
C.C
D.D
正确答案:————
13.[单选题]以直线x=0,x=1,y=0,y=1四条直线所围成的正方形内部所有点组成的集合D=____
A.{(x,y)∣0<x<1,0<y<1}
B.{(x,y)∣0≤x≤1,0<y<1}
C.{(x,y)∣0<x<1,0≤y≤1}
D.{(x,y)∣0≤x≤1,0≤y≤1}
正确答案:————
14.[单选题]如图:
A.A
B. B
C.C
D.D
正确答案:————
15.[单选题]下列函数中在区间[0,3]上不满足拉格朗日定理条件的是
A.A
B.B
C.C
D.D
正确答案:————
16.[单选题]如图:
A.A
B.B
C.C
D.D
正确答案:————
17.[单选题]如图:
A.A
B.B
C.C
D.D
正确答案:————
18.[单选题]A={a、b、c},B={a、b、d},C={a、b、c、d},则A、B、C之间有
A.A
B.B
C.C
D.D
正确答案:————
19.[单选题]如题
A.a=1, b=-3, c=1
B.a≠0, b=0, c=1
C.a=1, b=0,c为任意值
D.a、b为任意值,c=1
正确答案:————
20.[单选题]集合A是由a、b、c、d四个字母组成的,则把A表示为____
A.{b、d、a、c}
B. {b、c、cad}
C.{a、b、c、c}
D.{a、b、c}
正确答案:————
21.[单选题]如图:
A.A > 0
B.A < 0
C.A ≤ 0
D. A ≥ 0
正确答案:————
22.[单选题]集合B是由能被3除尽的全部整数组成的,则B可表示成______
A.{3,6,……,3n}
B.{±3,±6,……,±3n}
C.{0,±3,±6,……,±3n……}
D.{0,±3,±6,……±3n}
正确答案:————
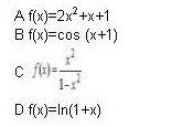
23.[单选题]下列函数中在闭区间[0 , 1]上有界的是( )
A.A
B.B
C.C
D.D
正确答案:————
24.[单选题]设A表示所有的被3除余1的整数组成的集合,则a=____时,有a∈A
A.2
B.12
C.-1
D.-2
正确答案:————
25.[单选题]设生产和销售某产品的总收入R是产量x的二次函数,经统计得:当产量x分别为0,2,4时总收入分别为R=0,6,8,则总收入R与产量x的函数关系为____
A.A
B.B
C.C
D.D
正确答案:————
东财《微积分(上)》在线作业三
1.[单选题]如题:
A.高阶无穷小
B.等价无穷小
C.低阶无穷小
D.同阶无穷小
正确答案:——A——
2.[单选题]如题:
A.-6
B.0
C.1
D.3
正确答案:——A——
3.[单选题]下列求极限的问题中,不能用罗必达法则的有
A.A
B.B
C.C
D.D
正确答案:——C——
4.[单选题]如题:
A.-12
B.2
C.-13
D.9
正确答案:————
5.[单选题]集合A是由a、b、c、d四个字母组成的,则把A表示为____
A.{b、d、a、c}
B. {b、c、cad}
C.{a、b、c、c}
D.{a、b、c}
正确答案:————
6.[单选题]下列极限中,有一个是正确的,它是( )
A.A
B.B
C.C
D.D
正确答案:————
7.[单选题]A={1、2、3},则A的全部子集为元素组成的集合为____
A.{φ,{1},{2},{3},{1,2},{1,3},{2,3}}
B.{{1},{2},{3},{1,2},{1,3},{2,3}}
C.{{1},{2},{3},{1,2},{1,3},{2,3},A}
D.{φ,{1},{2},{3},{1,2},{1,3},{2,3},A}
正确答案:————
8.[单选题]若下列各极限均存在,其中不一定成立的是_____。
A.A
B.B
C.C
D.D
正确答案:————
9.[单选题]如题
A.A
B.B
C.C
D.D
正确答案:————
10.[单选题]设需求函数Q=Q {P}{Q是需求量,P是价格},则需求价格弹性为___
A.A
B.B
C.C
D.D
正确答案:————
11.[单选题]下列数列收敛的有( )
A.A
B.B
C.C
D.D
正确答案:————
12.[单选题]如题
A.A
B.B
C.C
D.D
正确答案:————
13.[单选题]如图
A.A
B.B
C.C
D.D
正确答案:————
14.[单选题]A={a、b、c},B={a、c、d},c={a、c},则A、B、C之间有关系___
A.A
B.B
C.C
D.D
正确答案:————
15.[单选题]http://file.open.com.cn/ItemDB/-101730101/410f5b64-e2bb-4d3c-8503-1467baa331a7/20091112114156.jpg如题
A.A
B.B
C.C
D.D
正确答案:————
16.[单选题]如题:
A.A
B.B
C.C
D.D
正确答案:————
17.[单选题]如图:
A.A
B.B
C.C
D.D
正确答案:————
18.[单选题]如题 
A.A
B.B
C.C
D.D
正确答案:————
19.[单选题]如图: 
A.A
B.B
C.C
D.D
正确答案:————
20.[单选题]以直线x=0,x=1,y=0,y=1四条直线所围成的正方形内部所有点组成的集合D=____
A.{(x,y)∣0<x<1,0<y<1}
B.{(x,y)∣0≤x≤1,0<y<1}
C.{(x,y)∣0<x<1,0≤y≤1}
D.{(x,y)∣0≤x≤1,0≤y≤1}
正确答案:————
21.[单选题]下列数列当n → ∞时,绝对值无限增大的有( )
A.A
B.B
C.C
D.D
正确答案:————
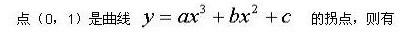
22.[单选题]如题
A.拐点
B.极大值
C.最大值
D.极小值
正确答案:————
23.[单选题]曲线y=sinx在x=π处的切线方程是____。
A.y-1=π-1
B.y+1=π-x
C.y=π-x
D.y=x-π
正确答案:————
24.[单选题]集合B是由能被3除尽的全部整数组成的,则B可表示成______
A.{3,6,……,3n}
B.{±3,±6,……,±3n}
C.{0,±3,±6,……,±3n……}
D.{0,±3,±6,……±3n}
正确答案:————
25.[单选题]如题:
A.A
B.B
C.C
D.D
正确答案:————
东财《微积分(上)》在线作业二
1.[单选题]http://file.open.com.cn/ItemDB/-101730101/95c2591d-9a52-430f-824b-86fe2d6c3f39/20091111175910226.JPG 如题
A.原点
B.x轴
C.y轴
D.直线y=x
正确答案:——A——
2.[单选题]如题
A.A
B.B
C.C
D.D
正确答案:——D——
3.[单选题]以直线x=0,x=1,y=0,y=1四条直线所围成的正方形内部所有点组成的集合D=____
A.{(x,y)∣0<x<1,0<y<1}
B.{(x,y)∣0≤x≤1,0<y<1}
C.{(x,y)∣0<x<1,0≤y≤1}
D.{(x,y)∣0≤x≤1,0≤y≤1}
正确答案:——A——
4.[单选题]http://file.open.com.cn/ItemDB/-101730101/f9445ad5-125c-4919-b9ec-7922d490d65c/20091112101117156.jpg如图
A.单调增加且有界
B.调调增加切无界
C.单调减少且有界
D.单调减少且无界
正确答案:————
5.[单选题]如题:
A.A
B.B
C.C
D.D
正确答案:————
6.[单选题]如题:
A.A
B.B
C.C
D.D
正确答案:————
7.[单选题]函数f(x)=3+2cosx的值域是___
A.[2,4]
B. [1,5]
C.[-1,1]
D.[-2,2]
正确答案:————
8.[单选题]已知数列的前三项为1 , 8 , 27,则这个数列的第n项an:( )
A.不能由这三项唯一确定
B.可以由这三项唯一确定
C.第四项为64
D.第四项为58
正确答案:————
9.[单选题]如图: 
A.A
B.B
C.C
D.D
正确答案:————
10.[单选题]下列极限中,有一个是正确的,它是( )
A.A
B.B
C.C
D.D
正确答案:————
11.[单选题]如题:
A.A
B.B
C.C
D.D
正确答案:————
12.[单选题]如题:
A.A
B.B
C.C
D.D
正确答案:————
13.[单选题]如题:
A.A
B.B
C.C
D.D
正确答案:————
14.[单选题]如图
A.1
B.-1
C.-2
D.2
正确答案:————
15.[单选题]如题
A.A
B.B
C.C
D.D
正确答案:————
16.[单选题]如题
A.-1
B.0
C.1
D.2
正确答案:————
17.[单选题]f(x+3)=x(x+3),则f(x)=____
A.A
B.B
C.C
D.D
正确答案:————
18.[单选题]A={a、b、c},B={b、c、d},C={b、c}以下关系正确的是____
A.A
B.B
C.C
D.D
正确答案:————
19.[单选题]如题:
A.-12
B.2
C.-13
D.9
正确答案:————
20.[单选题]集合B是由能被3除尽的全部整数组成的,则B可表示成______
A.{3,6,……,3n}
B.{±3,±6,……,±3n}
C.{0,±3,±6,……,±3n……}
D.{0,±3,±6,……±3n}
正确答案:————
21.[单选题]下列求极限的问题中,不能用罗必达法则的有
A.A
B.B
C.C
D.D
正确答案:————
22.[单选题]函数f(x)在(-infinity,+infinity)中连续,f(0)<0, 且lim_x->+infinity f(x)=B>0,lim_x->-infinity f(x)=A>0,那么f(x)=0
A.只有一个是实根
B.没有实根
C.只有俩个正的实根
D.至少有俩个实根并且至少有一个正实根和一个负实根
正确答案:————
23.[单选题]下列命题中不正确的为( )
A.闭区间上连续的函数,在该区间上有界
B.在闭区间上连续的函数,在该区间上未必有界
C.在闭区间上有界的函数,在该区间上未必连续
D.在开区间中连续的函数,在该区间中未必有界
正确答案:————
24.[单选题]如图
A.A
B.B
C.C
D.D
正确答案:————
25.[单选题]A=[-3,3],B=[0,5],则____
A.A
B.B
C.C
D.D
正确答案:————
附件是答案,转载注明 奥鹏无忧答案网
|
|