|
|
东财《经济数学X》在线作业一随机作业请核对题目下载答案 微信761296021
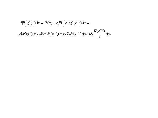
1.[单选题]http://file.open.com.cn/Lms/ItemDBAttachments/image/singleselect/dcwjfe/20060407/3014fb18.JPG。
A.a
B.b
C.c
D.d
正确答案:——C——
2.[单选题]题见下图
A.y=2;
B.y=1;
C.y=-3;
D.y=0
正确答案:——C——
3.[单选题] 题见图片
A.A
B.B
C.C
D.D
正确答案:——A——
4.[单选题]题见图片
A.(3,15);
B.(3,1);
C.(-3,15);
D.(-3,1)
正确答案:————
5.[单选题]题见下图
A.A
B.B
C.C
D.D
正确答案:————
6.[单选题]http://file.open.com.cn/Lms/ItemDBAttachments/image/singleselect/dcwjfe/20060407/df96b98e.JPG。
A.a
B.b
C.c
D.d
正确答案:————
7.[单选题]http://file.open.com.cn/Lms/ItemDBAttachments/image/singleselect/dcwjfe/20061024/301b2359.JPG。
A.A
B.B
C.C
D.D
正确答案:————
8.[单选题]http://file.open.com.cn/Lms/ItemDBAttachments/image/singleselect/dcwjfe/20061024/3c8fdd76.JPG。
A.A
B.B
C.C
D.D
正确答案:————
9.[单选题]题见下图
A.单调增加的;
B.单调减少的;
C.不增不减的;
D.有增有减的
正确答案:————
10.[单选题]题见图片
A.cosx/x;
B.sinx/x;
C.cosx/x + c;
D.sinx/x + c
正确答案:————
11.[单选题]题见图片
A.原点;
B.x轴;
C.Y轴;
D.直线Y=X
正确答案:————
12.[单选题]题见下图
A.a
B.b
C.c 无忧答案网
D.d
正确答案:————
13.[单选题]题见图片
A.A
B.B
C.C
D.D
正确答案:————
14.[单选题]函数f(x)在x=a点可导是f(x)在x=a点连续的 )
A.充分条件
B.必要条件
C.充要条件
D.无关条件
正确答案:————
15.[单选题]题见图片
A.A
B.B
C.C
D.D
正确答案:————
16.[单选题]题见图片
A.A
B.B
C.C
D.D
正确答案:————
17.[单选题]题见下图
A.A
B.B
C.C
D.D
正确答案:————
18.[单选题]题见下图
A.A
B.B
C.C
D.D
正确答案:————
19.[单选题]题见下图
A.A
B.B
C.C
D.D
正确答案:————
20.[单选题]题见下图
A.2;
B.1/2;
C.1;
D.0
正确答案:————
21.[单选题]题见图片
A.—1;
B.1;
C.0;
D.不存在
正确答案:————
22.[单选题]幂函数的原函数一定是
A.幂函数;
B.指数函数;
C.对数函数;
D.幂函数或对数函数
正确答案:————
23.[单选题]题见图片
A.原点;
B.x轴;
C.y轴;
D.直线y=x
正确答案:————
24.[单选题]题见下图
A.1;
B.0;
C.2;
D.1/2
正确答案:————
25.[单选题]题见图片
A.A
B.B
C.C
D.D
正确答案:————
东财《经济数学X》在线作业三
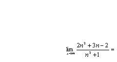
1.[单选题]题见下图
A.1/2;
B.2;
C.1;
D.0
正确答案:——C——
2.[单选题]http://file.open.com.cn/Lms/ItemDBAttachments/image/singleselect/dcwjfe/20060407/c8a50a0b.JPG。
A.a
B.b
C.c
D.d
正确答案:——A——
3.[单选题]题见下图
A.∞;
B.-1/2;
C.2;
D.1/2
正确答案:——D——
4.[单选题]题见下图
A.A
B.B
C.C
D.D
正确答案:————
5.[单选题]http://file.open.com.cn/Lms/ItemDBAttachments/image/singleselect/dcwjfe/20051113/71cb1502.JPG。
A.A
B.B
C.C
D.D
正确答案:————
6.[单选题]题见图片
A.A
B.B
C.C
D.D
正确答案:————
7.[单选题]http://file.open.com.cn/Lms/ItemDBAttachments/image/singleselect/dcwjfe/20060407/db031d1c.JPG。
A.a
B.b
C.c
D.d
正确答案:————
8.[单选题]函数y=1/x在区间 ( )上无界
A.(1,+∞);
B.(0,1);
C.(-∞,-1);
D.以上都不对
正确答案:————
9.[单选题]http://file.open.com.cn/Lms/ItemDBAttachments/image/singleselect/dcwjfe/20051111/2f75589b.JPG。
A.A
B.B
C.C
D.D
正确答案:————
10.[单选题]题见下图
A.A
B.B
C.C
D.D
正确答案:————
11.[单选题]题见图片
A.A
B.B
C.C
D.D
正确答案:————
12.[单选题]题见图片
A.x=-1;
B.x=0;
C.x=1;
D.x=2
正确答案:————
13.[单选题]题见图片
A.2;
B.1;
C.1/2;
D.∞
正确答案:————
14.[单选题]题见下图
A.A
B.B
C.C
D.D
正确答案:————
15.[单选题]题见下图
A.A
B.B
C.C
D.D
正确答案:————
16.[单选题]题见下图
A.递增;
B.递减;
C.不增不减;
D.有增有减
正确答案:————
17.[单选题]http://file.open.com.cn/Lms/ItemDBAttachments/image/singleselect/dcwjfe/20051113/62d7e7c1.JPG。
A.是极大值;
B.是极小值;
C.不是极值;
D.是极值
正确答案:————
18.[单选题]设集合 A={x|3< x <5},B={x|x >4}则A∪B=。
A.{x|3< x <5};
B.{x|x >3};
C.{x|3< x <5};
D.{x|x >5}.
正确答案:————
19.[单选题]题见下图
A.A
B.B
C.C
D.D
正确答案:————
20.[单选题]题见图片
A.(-1,-1)及(1,1);
B.(-1,1)及(1,1);
C.(1,-1)及(1,1);
D.(-1,-1)及(1,-1)
正确答案:————
21.[单选题]∫cotx(cotx-cscx)dx=
A.cotx-x+cscx+c;
B.-cotx-x+cscx+c;
C.cotx-x-cscx+c;
D.-cotx-x-cscx+c
正确答案:————
22.[单选题]http://file.open.com.cn/Lms/ItemDBAttachments/image/singleselect/dcwjfe/20051113/2e854fb6.JPG。
A.△>0,A>0;
B.△>0,A<0;
C.△<0,A>0;
D.△<0,A<0
正确答案:————
23.[单选题]http://file.open.com.cn/Lms/ItemDBAttachments/image/singleselect/dcwjfe/20061024/3ae67851.JPG。
A.A
B.B
C.C
D.D
正确答案:————
24.[单选题]方程dy/dx - y/x =0的通解为
A.c/x;
B.c+x;
C.1/x + c;
D.cx
正确答案:————
25.[单选题]http://file.open.com.cn/Lms/ItemDBAttachments/image/singleselect/dcwjfe/20061024/3014fb18.JPG。
A.A
B.B
C.C
D.D
正确答案:————
东财《经济数学X》在线作业二
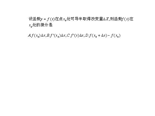
1.[单选题]题见图片
A.A
B.B
C.C
D.D
正确答案:——C——
2.[单选题]用区间表示满足{x|1<|x-2|<3}点集是。
A.(-1,1);
B.(3,5);
C.(-1,5);
D.(-1,1)∪(3,5)
正确答案:——D——
3.[单选题]http://file.open.com.cn/Lms/ItemDBAttachments/image/singleselect/dcwjfe/20051113/63a8a42b.JPG。
A.A
B.B
C.C
D.D
正确答案:——B——
4.[单选题]题见下图
A.A
B.B
C.C
D.D
正确答案:————
5.[单选题]题见下图
A.a
B.b
C.c
D.d
正确答案:————
6.[单选题] 题见下图
A.A
B.B
C.C
D.D
正确答案:————
7.[单选题]题见下图
A.A
B.B
C.C
D.D
正确答案:————
8.[单选题]http://file.open.com.cn/Lms/ItemDBAttachments/image/singleselect/dcwjfe/20061024/af075889.JPG。
A.A
B.B
C.C
D.D
正确答案:————
9.[单选题]题见图片
A.A
B.B
C.C
D.D
正确答案:————
10.[单选题]题见下图
A.A
B.B
C.C
D.D
正确答案:————
11.[单选题]题见下图
A.0;
B.2;
C.∞;
D.-2
正确答案:————
12.[单选题]题见下图
A.单调增加的函数;
B.单调减少的函数;
C.非单调函数;
D.偶函数
正确答案:————
13.[单选题]函数y=f(x)在点x=a连续是f(x)在x=a有极限的
A.充要条件;
B.充分条件;
C.必要条件;
D.无关条件
正确答案:————
14.[单选题]http://file.open.com.cn/Lms/ItemDBAttachments/image/singleselect/dcwjfe/20061024/6657bca7.JPG。
A.A
B.B
C.C
D.D
正确答案:————
15.[单选题]题见下图
A.1/2;
B.2;
C.1;
D.0
正确答案:————
16.[单选题]题见图片
A.A
B.B
C.C
D.D
正确答案:————
17.[单选题]http://file.open.com.cn/Lms/ItemDBAttachments/image/singleselect/dcwjfe/20061024/8190ced4.JPG。
A.A
B.B
C.C
D.D
正确答案:————
18.[单选题]题见图片
A.A
B.B
C.C
D.D
正确答案:————
19.[单选题]题见下图
A.x=-1;
B.x=1;
C.y=0;
D.y=1
正确答案:————
20.[单选题]题见下图
A.0;
B.1;
C.1/2;
D.2
正确答案:————
21.[单选题]http://file.open.com.cn/Lms/ItemDBAttachments/image/singleselect/dcwjfe/20051113/0640da2c.JPG。
A.(1/2,-1);
B.(-7/2,1);
C.(7/2,-1);
D.(1/2,1)
正确答案:————
22.[单选题]函数y=tanx在区间( )内单调增加.
A.[0,π/2]
B.[0,π]
C.[0,1]
D.以上都不对
正确答案:————
23.[单选题]题见图片
A.A
B.B
C.C
D.D
正确答案:————
24.[单选题]http://file.open.com.cn/Lms/ItemDBAttachments/image/singleselect/dcwjfe/20061024/2d2f934b.JPG。
A.A
B.B
C.C
D.D
正确答案:————
25.[单选题]题见图片
A.A
B.B
C.C
D.D
正确答案:————
附件是答案,核对题目下载,转载注明 无忧答案网
|
|