[在线作业] 福师19春《近世代数》在线作业12

[复制链接]
发表于 2019-4-26 13:01:14 | 显示全部楼层 |阅读模式
福师《近世代数》在线作业一
随机作业,请核对题目下载  微信 76129602
1.[单选题]阶最小的非循环群是()
    A.3阶群
    B.4阶克莱因群
    C.6阶群
    D.8阶群
    正确答案:——B——
2.[单选题]题面见图片
    A.A
    B.B
    C.C
    D.D
    正确答案:——C——
3.[单选题]
    A.A
    B.B
    C.C
    D.D
    正确答案:——A——
4.[单选题]n阶方阵集合对于矩阵加法和乘法构成的环是()
    A.交换环
    B.除环
    C.整环
    D.都不是
    正确答案:————
5.[单选题]
    A.A
    B.B
    C.C
    D.D
    正确答案:————
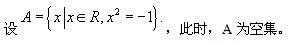
6.[判断题]
    A.错误
    B.正确
    正确答案:————
7.[判断题]
    A.错误
    B.正确
    正确答案:————
8.[判断题]http://file.open.com.cn/Lms/ItemDBAttachments/image/judge/fsteacher9/20061013/98a9a2ab.GIF。
    A.错误
    B.正确
    正确答案:————
9.[判断题]。
    A.错误
    B.正确
    正确答案:————
10.[判断题]
    A.错误
    B.正确
    正确答案:————
11.[判断题]http://file.open.com.cn/Lms/ItemDBAttachments/image/judge/fsteacher9/20060930/3093d3d9.GIF。
    A.错误
    B.正确
    正确答案:————    奥鹏作业答案
12.[判断题]
    A.错误
    B.正确
    正确答案:————
13.[判断题]http://file.open.com.cn/Lms/ItemDBAttachments/image/judge/fsteacher9/20060930/30f4bf85.GIF。
    A.错误
    B.正确
    正确答案:————
14.[判断题]http://file.open.com.cn/Lms/ItemDBAttachments/image/judge/fsteacher9/20061013/2fa415b0.GIF。
    A.错误
    B.正确
    正确答案:————
15.[判断题]http://file.open.com.cn/Lms/ItemDBAttachments/image/judge/fsteacher9/20061013/401ee4c5.GIF。
    A.错误
    B.正确
    正确答案:————
16.[判断题]
    A.错误
    B.正确
    正确答案:————
17.[判断题]
    A.错误
    B.正确
    正确答案:————
18.[判断题]题面见图片
    A.错误
    B.正确
    正确答案:————
19.[判断题]http://file.open.com.cn/Lms/ItemDBAttachments/image/judge/fsteacher9/20060930/29708fc6.GIF。
    A.错误
    B.正确
    正确答案:————
20.[判断题]
    A.错误
    B.正确
    正确答案:————
21.[判断题]题面见图片
    A.错误
    B.正确
    正确答案:————
22.[判断题]
    A.错误
    B.正确
    正确答案:————
23.[判断题]题面见图片
    A.错误
    B.正确
    正确答案:————
24.[判断题]http://file.open.com.cn/Lms/ItemDBAttachments/image/judge/fsteacher9/20061013/616303a6.GIF。
    A.错误
    B.正确
    正确答案:————
25.[判断题]
    A.错误
    B.正确
    正确答案:————
26.[判断题]题见下图:
    A.错误
    B.正确
    正确答案:————
27.[判断题]http://file.open.com.cn/Lms/ItemDBAttachments/image/judge/fsteacher9/20061013/f3c7eb53.GIF。
    A.错误
    B.正确
    正确答案:————
28.[判断题]http://file.open.com.cn/Lms/ItemDBAttachments/image/judge/fsteacher9/20061013/72559c7e.GIF。
    A.错误
    B.正确
    正确答案:————
29.[判断题]http://file.open.com.cn/Lms/ItemDBAttachments/image/judge/fsteacher9/20060930/89415e36.GIF 。
    A.错误
    B.正确
    正确答案:————
30.[判断题]
    A.错误
    B.正确
    正确答案:————
31.[判断题]http://file.open.com.cn/Lms/ItemDBAttachments/image/judge/fsteacher9/20061013/91332872.GIF。
    A.错误
    B.正确
    正确答案:————
32.[判断题]题面见图片
    A.错误
    B.正确
    正确答案:————
33.[判断题].
    A.错误
    B.正确
    正确答案:————
34.[判断题]题面见图片
    A.错误
    B.正确
    正确答案:————
35.[判断题]
    A.错误
    B.正确
    正确答案:————
36.[判断题]
    A.错误
    B.正确
    正确答案:————
37.[判断题]http://file.open.com.cn/Lms/ItemDBAttachments/image/judge/fsteacher9/20060930/0ae06b3d.GIF。
    A.错误
    B.正确
    正确答案:————
38.[判断题].
    A.错误
    B.正确
    正确答案:————
39.[判断题]
    A.错误
    B.正确
    正确答案:————
40.[判断题]http://file.open.com.cn/Lms/ItemDBAttachments/image/judge/fsteacher9/20060930/e5b5507b.GIF。
    A.错误
    B.正确
    正确答案:————
41.[判断题]
    A.错误
    B.正确
    正确答案:————
42.[判断题]题面见图片
    A.错误
    B.正确
    正确答案:————
43.[判断题]
    A.错误
    B.正确
    正确答案:————
44.[判断题]
    A.错误
    B.正确
    正确答案:————
45.[判断题]http://file.open.com.cn/Lms/ItemDBAttachments/image/judge/fsteacher9/20060930/eb64ae2f.GIF。
    A.错误
    B.正确
    正确答案:————
46.[判断题]http://file.open.com.cn/Lms/ItemDBAttachments/image/judge/fsteacher9/20061013/fd61363e.GIF。
    A.错误
    B.正确
    正确答案:————
47.[判断题]
    A.错误
    B.正确
    正确答案:————
48.[判断题]http://file.open.com.cn/Lms/ItemDBAttachments/image/judge/fsteacher9/20060930/cdce05b0.GIF。
    A.错误
    B.正确
    正确答案:————
49.[判断题]
    A.错误
    B.正确
    正确答案:————
50.[判断题]
    A.错误
    B.正确
    正确答案:————
福师《近世代数》在线作业二
1.[单选题]
    A.A
    B.B
    C.C
    D.D
    正确答案:——A——
2.[单选题]12阶循环群的生成元有()个
    A.1
    B.2
    C.3
    D.4
    正确答案:——C——
3.[单选题]题面见图片
    A.A
    B.B
    C.C
    D.D
    正确答案:——D——
4.[单选题]行列式非0的n阶方阵集合对于矩阵乘法构成()
    A.半群
    B.群
    C.环
    D.域
    正确答案:————
5.[单选题]
    A.A
    B.B
    C.C
    D.D
    正确答案:————
6.[判断题]
    A.错误
    B.正确
    正确答案:————
7.[判断题]
    A.错误
    B.正确
    正确答案:————
8.[判断题]http://file.open.com.cn/Lms/ItemDBAttachments/image/judge/fsteacher9/20060930/8171867e.GIF。
    A.错误
    B.正确
    正确答案:————
9.[判断题]http://file.open.com.cn/Lms/ItemDBAttachments/image/judge/fsteacher9/20061013/9cd27399.GIF。
    A.错误
    B.正确
    正确答案:————
10.[判断题]http://file.open.com.cn/Lms/ItemDBAttachments/image/judge/fsteacher9/20060930/dee4bc2f.GIF。
    A.错误
    B.正确
    正确答案:————
11.[判断题]http://file.open.com.cn/Lms/ItemDBAttachments/image/judge/fsteacher9/20061013/401ee4c5.GIF。
    A.错误
    B.正确
    正确答案:————
12.[判断题]http://file.open.com.cn/Lms/ItemDBAttachments/image/judge/fsteacher9/20061013/98a9a2ab.GIF。
    A.错误
    B.正确
    正确答案:————
13.[判断题]http://file.open.com.cn/Lms/ItemDBAttachments/image/judge/fsteacher9/20061013/36249d52.GIF。
    A.错误
    B.正确
    正确答案:————
14.[判断题]
    A.错误
    B.正确
    正确答案:————
15.[判断题]
    A.错误
    B.正确
    正确答案:————
16.[判断题]http://file.open.com.cn/Lms/ItemDBAttachments/image/judge/fsteacher9/20061013/4f399d80.GIF。
    A.错误
    B.正确
    正确答案:————
17.[判断题]题面见图片
    A.错误
    B.正确
    正确答案:————
18.[判断题]http://file.open.com.cn/Lms/ItemDBAttachments/image/judge/fsteacher9/20060930/30f4bf85.GIF。
    A.错误
    B.正确
    正确答案:————
19.[判断题]http://file.open.com.cn/Lms/ItemDBAttachments/image/judge/fsteacher9/20060930/71579621.GIF.
    A.错误
    B.正确
    正确答案:————
20.[判断题]http://file.open.com.cn/Lms/ItemDBAttachments/image/judge/fsteacher9/20060930/1f36fe61.GIF、
    A.错误
    B.正确
    正确答案:————
21.[判断题]题见下图:
    A.错误
    B.正确
    正确答案:————
22.[判断题]题面见图片
    A.错误
    B.正确
    正确答案:————
23.[判断题]http://file.open.com.cn/Lms/ItemDBAttachments/image/judge/fsteacher9/20061013/6d4f6a64.GIF。
    A.错误
    B.正确
    正确答案:————
24.[判断题]
    A.错误
    B.正确
    正确答案:————
25.[判断题]
    A.错误
    B.正确
    正确答案:————
26.[判断题]
    A.错误
    B.正确
    正确答案:————
27.[判断题]http://file.open.com.cn/Lms/ItemDBAttachments/image/judge/fsteacher9/20060930/3093d3d9.GIF。
    A.错误
    B.正确
    正确答案:————
28.[判断题]
    A.错误
    B.正确
    正确答案:————
29.[判断题]http://file.open.com.cn/Lms/ItemDBAttachments/image/judge/fsteacher9/20061013/de12daf9.GIF。
    A.错误
    B.正确
    正确答案:————
30.[判断题]
    A.错误
    B.正确
    正确答案:————
31.[判断题]http://file.open.com.cn/Lms/ItemDBAttachments/image/judge/fsteacher9/20061013/91332872.GIF。
    A.错误
    B.正确
    正确答案:————
32.[判断题]
    A.错误
    B.正确
    正确答案:————
33.[判断题]题面见图片
    A.错误
    B.正确
    正确答案:————
34.[判断题]题面见图片
    A.错误
    B.正确
    正确答案:————
35.[判断题]
    A.错误
    B.正确
    正确答案:————
36.[判断题]http://file.open.com.cn/Lms/ItemDBAttachments/image/judge/fsteacher9/20060930/5be76374.GIF.。
    A.错误
    B.正确
    正确答案:————
37.[判断题]。
    A.错误
    B.正确
    正确答案:————
38.[判断题]
    A.错误
    B.正确
    正确答案:————
39.[判断题]题面见图片
    A.错误
    B.正确
    正确答案:————
40.[判断题]http://file.open.com.cn/Lms/ItemDBAttachments/image/judge/fsteacher9/20061013/8ca7ae07.GIF。
    A.错误
    B.正确
    正确答案:————
41.[判断题].
    A.错误
    B.正确
    正确答案:————
42.[判断题]
    A.错误
    B.正确
    正确答案:————
43.[判断题]
    A.错误
    B.正确
    正确答案:————
44.[判断题]http://file.open.com.cn/Lms/ItemDBAttachments/image/judge/fsteacher9/20060930/cdce05b0.GIF。
    A.错误
    B.正确
    正确答案:————
45.[判断题]http://file.open.com.cn/Lms/ItemDBAttachments/image/judge/fsteacher9/20061013/f5bf3a26.GIF.
    A.错误
    B.正确
    正确答案:————
46.[判断题]http://file.open.com.cn/Lms/ItemDBAttachments/image/judge/fsteacher9/20060930/68235292.GIF。  
    A.错误
    B.正确
    正确答案:————
47.[判断题]http://file.open.com.cn/Lms/ItemDBAttachments/image/judge/fsteacher9/20060930/29708fc6.GIF。
    A.错误
    B.正确
    正确答案:————
48.[判断题]
    A.错误
    B.正确
    正确答案:————
49.[判断题]题见下图:
    A.错误
    B.正确
    正确答案:————
50.[判断题]http://file.open.com.cn/Lms/ItemDBAttachments/image/judge/fsteacher9/20061013/88a9cdcb.GIF。
    A.错误
    B.正确
    正确答案:————
无忧答案网,附件是答案,需要的自助下载

福师《近世代数》在线作业二答案.zip

1.43 KB, 下载次数: 3, 下载积分: 贡献 1

售价: 2 金币  [记录]  [购买]

答案

福师《近世代数》在线作业一答案.zip

1.47 KB, 下载次数: 3, 下载积分: 贡献 1

售价: 2 金币  [记录]  [购买]

答案

快速回复 返回顶部 返回列表