[在线作业] 福师19春《初等数论》在线作业12

[复制链接]
发表于 2019-4-26 10:38:09 | 显示全部楼层 |阅读模式
福师《初等数论》在线作业一
随机作业,请核对题目下载  微信 76129602
1.[单选题]9x+11y=100的正整数解的个数是()
    A.0
    B.1
    C.2
    D.无穷
    正确答案:——B——
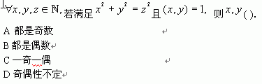
2.[单选题]题见图片
    A.A
    B.B
    C.C
    D.D
    正确答案:——A——
3.[单选题]题见图片  
    A.A
    B.B
    C.C
    D.D
    正确答案:——C——
4.[单选题]被3除余1,被5除余4,被11除余5的最小正整数一定处于()的区间
    A.[10,20]
    B.[20,30]
    C.[30,40]
    D.[40,50]
    正确答案:————
5.[单选题]100!的末尾0的个数是()
    A.20
    B.21
    C.24
    D.25
    正确答案:————
6.[单选题]p为素数是2^(2^p)+1为素数的()
    A.充分条件
    B.必要条件
    C.充要条件
    D.既非充分也非必要条件
    正确答案:————
7.[单选题]http://file.open.com.cn/Lms/ItemDBAttachments/image/singleselect/fsteacher9/20061009/a9be37f0.JPG。
    A.A
    B.B
    C.C
    D.D
    正确答案:————
8.[单选题]整数202()
    A.能够写成两数平方和
    B.能够写成两数平方差
    C.都可以
    D.都不能
    正确答案:————
9.[单选题]题见图片
    A.A
    B.B
    C.C
    D.D
    正确答案:————
10.[单选题]题见图片
    A.A
    B.B
    C.C
    D.D
    正确答案:————
11.[单选题]题见图片
    A.A
    B.B
    C.C
    D.D
    正确答案:————
12.[单选题]http://file.open.com.cn/Lms/ItemDBAttachments/image/singleselect/fsteacher9/20060930/9437c50c.GIF。
    A.A
    B.B
    C.C
    D.D
    正确答案:————
13.[单选题]题见图片
    A.A
    B.B
    C.C
    D.D
    正确答案:————
14.[单选题]100!最高能被45的()次幂整除
    A.20
    B.23
    C.24
    D.48
    正确答案:————
15.[单选题]题见下图
    A.A
    B.B
    C.C
    D.D
    正确答案:————
16.[单选题]题见图片
    A.A
    B.B
    C.C
    D.D
    正确答案:————
17.[单选题]a,b大于1且互素,则不定方程ax-by=ab的正整数解的个数是()
    A.0
    B.1
    C.2
    D.无穷
    正确答案:————
18.[单选题]http://file.open.com.cn/Lms/ItemDBAttachments/image/singleselect/fsteacher9/20060930/513ae43b.GIF。    奥鹏作业答案
    A.A
    B.B
    C.C
    D.D
    正确答案:————
19.[单选题]题见图片
    A.A
    B.B
    C.C
    D.D
    正确答案:————
20.[单选题]题见图片
    A.A
    B.B
    C.C
    D.D
    正确答案:————
21.[单选题]题见图片
    A.A
    B.B
    C.C
    D.D
    正确答案:————
22.[单选题]  
    A.A
    B.B
    C.C
    D.D
    正确答案:————
23.[单选题]http://file.open.com.cn/Lms/ItemDBAttachments/image/singleselect/fsteacher9/20060930/74f96645.GIF。
    A.A
    B.B
    C.C
    D.D
    正确答案:————
24.[单选题]。
    A.A
    B.B
    C.C
    D.D
    正确答案:————
25.[单选题]题见图片
    A.A
    B.B
    C.C
    D.D
    正确答案:————
26.[判断题]题面见图片
    A.错误
    B.正确
    正确答案:————
27.[判断题]题面见图片
    A.错误
    B.正确
    正确答案:————
28.[判断题]题面见图片
    A.错误
    B.正确
    正确答案:————
29.[判断题]题见图片
    A.错误
    B.正确
    正确答案:————
30.[判断题]题见图片
    A.错误
    B.正确
    正确答案:————
31.[判断题]题见图片
    A.错误
    B.正确
    正确答案:————
32.[判断题]题见图片
    A.错误
    B.正确
    正确答案:————
33.[判断题]题见图片
    A.错误
    B.正确
    正确答案:————
34.[判断题]题面见图片
    A.错误
    B.正确
    正确答案:————
35.[判断题]题见图片
    A.错误
    B.正确
    正确答案:————
36.[判断题]题见下图
    A.错误
    B.正确
    正确答案:————
37.[判断题]题面见图片
    A.错误
    B.正确
    正确答案:————
38.[判断题]题见图片
    A.错误
    B.正确
    正确答案:————
39.[判断题]题见下图
    A.错误
    B.正确
    正确答案:————
40.[判断题]题面见图片
    A.错误
    B.正确
    正确答案:————
41.[判断题]题见图片
    A.错误
    B.正确
    正确答案:————
42.[判断题]题面见图片
    A.错误
    B.正确
    正确答案:————
43.[判断题]题面见图片
    A.错误
    B.正确
    正确答案:————
44.[判断题]题见图片
    A.错误
    B.正确
    正确答案:————
45.[判断题]题见下图
    A.错误
    B.正确
    正确答案:————
46.[判断题]题见图片
    A.错误
    B.正确
    正确答案:————
47.[判断题]题见图片
    A.错误
    B.正确
    正确答案:————
48.[判断题]题面见图片
    A.错误
    B.正确
    正确答案:————
49.[判断题]题见下图
    A.错误
    B.正确
    正确答案:————
50.[判断题]题见下图
    A.错误
    B.正确
    正确答案:————
福师《初等数论》在线作业二
1.[单选题]题见图片
    A.A
    B.B
    C.C
    D.D
    正确答案:——D——
2.[单选题]题见图片
    A.A
    B.B
    C.C
    D.D
    正确答案:——A——
3.[单选题]题见图片
    A.A
    B.B
    C.C
    D.D
    正确答案:——B——
4.[单选题]9x+11y=100的正整数解的个数是()
    A.0
    B.1
    C.2
    D.无穷
    正确答案:————
5.[单选题]a,b大于1且互素,则不定方程ax-by=ab的正整数解的个数是()
    A.0
    B.1
    C.2
    D.无穷
    正确答案:————
6.[单选题]9x+11y=99的正整数解的个数是()
    A.0
    B.1
    C.2
    D.无穷
    正确答案:————
7.[单选题]题见图片  
    A.A
    B.B
    C.C
    D.D
    正确答案:————
8.[单选题]
    A.A
    B.B
    C.C
    D.D
    正确答案:————
9.[单选题]题见图片
    A.A
    B.B
    C.C
    D.D
    正确答案:————
10.[单选题]100!的末尾0的个数是()
    A.20
    B.21
    C.24
    D.25
    正确答案:————
11.[单选题]题见图片
    A.A
    B.B
    C.C
    D.D
    正确答案:————
12.[单选题]不定方程a^2+b^2=c^2+d^2的互素正整数解组个数是()
    A.0
    B.1
    C.有限
    D.无穷
    正确答案:————
13.[单选题]  
    A.A
    B.B
    C.C
    D.D
    正确答案:————
14.[单选题]p为素数是2^(2^p)+1为素数的()
    A.充分条件
    B.必要条件
    C.充要条件
    D.既非充分也非必要条件
    正确答案:————
15.[单选题]同余方程x^7+3x^6+3x^5+x+2≡0(mod 5)的解的个数是()
    A.1
    B.2
    C.3
    D.4
    正确答案:————
16.[单选题]k是正整数,则k^2+k+1()完全平方数
    A.一定是
    B.一定不是
    C.有可能是有可能不是
    D.无法判断
    正确答案:————
17.[单选题]  题见下图
    A.A
    B.B
    C.C
    D.D
    正确答案:————
18.[单选题]http://file.open.com.cn/Lms/ItemDBAttachments/image/singleselect/fsteacher9/20060930/c7ee04e4.GIF。
    A.A
    B.B
    C.C
    D.D
    正确答案:————
19.[单选题]题见图片
    A.A
    B.B
    C.C
    D.D
    正确答案:————
20.[单选题]http://file.open.com.cn/Lms/ItemDBAttachments/image/singleselect/fsteacher9/20061009/1ff29ea4.JPG。
    A.A
    B.B
    C.C
    D.D
    正确答案:————
21.[单选题]http://file.open.com.cn/Lms/ItemDBAttachments/image/singleselect/fsteacher9/20060930/cd0b96c2.GIF。
    A.A
    B.B
    C.C
    D.D
    正确答案:————
22.[单选题]http://file.open.com.cn/Lms/ItemDBAttachments/image/singleselect/fsteacher9/20060930/74f96645.GIF。
    A.A
    B.B
    C.C
    D.D
    正确答案:————
23.[单选题]http://file.open.com.cn/Lms/ItemDBAttachments/image/singleselect/fsteacher9/20061009/a9be37f0.JPG。
    A.A
    B.B
    C.C
    D.D
    正确答案:————
24.[单选题]整数202()
    A.能够写成两数平方和
    B.能够写成两数平方差
    C.都可以
    D.都不能
    正确答案:————
25.[单选题]题见图片
    A.A
    B.B
    C.C
    D.D
    正确答案:————
26.[判断题]题面见图片
    A.错误
    B.正确
    正确答案:————
27.[判断题]题见图片
    A.错误
    B.正确
    正确答案:————
28.[判断题]题见下图
    A.错误
    B.正确
    正确答案:————
29.[判断题]题见下图
    A.错误
    B.正确
    正确答案:————
30.[判断题]题见图片
    A.错误
    B.正确
    正确答案:————
31.[判断题]题见图片
    A.错误
    B.正确
    正确答案:————
32.[判断题]题见下图
    A.错误
    B.正确
    正确答案:————
33.[判断题]题面见图片
    A.错误
    B.正确
    正确答案:————
34.[判断题]题见图片
    A.错误
    B.正确
    正确答案:————
35.[判断题]题见下图
    A.错误
    B.正确
    正确答案:————
36.[判断题]题见图片
    A.错误
    B.正确
    正确答案:————
37.[判断题]题见图片
    A.错误
    B.正确
    正确答案:————
38.[判断题]题见图片
    A.错误
    B.正确
    正确答案:————
39.[判断题]题见图片
    A.错误
    B.正确
    正确答案:————
40.[判断题]题见图片
    A.错误
    B.正确
    正确答案:————
41.[判断题]题面见图片
    A.错误
    B.正确
    正确答案:————
42.[判断题]题见图片
    A.错误
    B.正确
    正确答案:————
43.[判断题]题面见图片
    A.错误
    B.正确
    正确答案:————
44.[判断题]题见图片
    A.错误
    B.正确
    正确答案:————
45.[判断题]题见图片
    A.错误
    B.正确
    正确答案:————
46.[判断题]题见图片
    A.错误
    B.正确
    正确答案:————
47.[判断题]题面见图片
    A.错误
    B.正确
    正确答案:————
48.[判断题]题见图片
    A.错误
    B.正确
    正确答案:————
49.[判断题]题面见图片
    A.错误
    B.正确
    正确答案:————
50.[判断题]题面见图片
    A.错误
    B.正确
    正确答案:————
无忧答案网,附件是答案,需要的自助下载

福师《初等数论》在线作业二答案.zip

1.71 KB, 下载次数: 9, 下载积分: 贡献 1

售价: 2 金币  [记录]

答案

福师《初等数论》在线作业一答案.zip

1.74 KB, 下载次数: 5, 下载积分: 贡献 1

售价: 2 金币  [记录]

答案

快速回复 返回顶部 返回列表