[在线作业] 电子科技大19春《高等数学(文科专科)》在线作业123

[复制链接]
发表于 2019-4-26 09:19:49 | 显示全部楼层 |阅读模式
19春《高等数学(文科专科)》在线作业1
奥鹏作业答案可以联系QQ 761296021
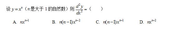
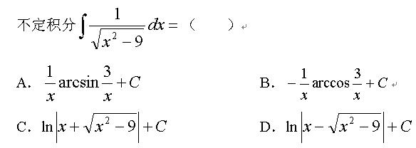
1.[单选题]题面见图片
    A.A
    B.B
    C.C
    D.D
    正确答案:——D——
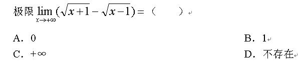
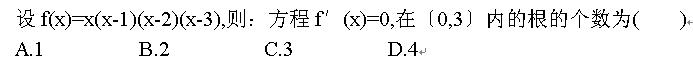
2.[单选题]题面见图片
    A.A
    B.B
    C.C
    D.D
    正确答案:——B——
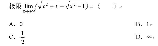
3.[单选题]题面见图片
    A.A
    B.B
    C.C
    D.D
    正确答案:——B——
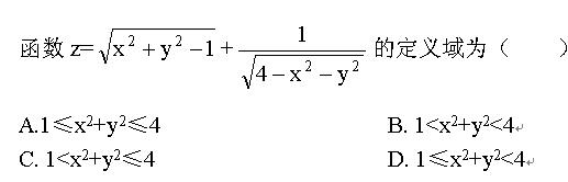
4.[单选题]题面见图片
    A.A
    B.B
    C.C
    D.D
    正确答案:————
5.[单选题]题面见图片
    A.A
    B.B
    C.C
    D.D
    正确答案:————
6.[单选题]1
    A.A
    B.B
    C.C
    D.D
    正确答案:————
7.[单选题]题面见图片
    A.A
    B.B
    C.C
    D.D
    正确答案:————
8.[单选题]1
    A.A
    B.B
    C.C
    D.D
    正确答案:————
9.[单选题]题面见图片
    A.A
    B.B
    C.C
    D.D
    正确答案:————
10.[单选题]题面见图片
    A.A
    B.B
    C.C
    D.D
    正确答案:————
11.[单选题]题面见图片
    A.A
    B.B
    C.C
    D.D
    正确答案:————
12.[单选题]题面见图片
    A.A
    B.B
    C.C    奥鹏作业答案
    D.D
    正确答案:————
13.[单选题]题面见图片
    A.A
    B.B
    C.C
    D.D
    正确答案:————
14.[单选题]1
    A.A
    B.B
    C.C
    D.D
    正确答案:————
15.[单选题]题面见图片
    A.A
    B.B
    C.C
    D.D
    正确答案:————
16.[单选题]题面见图片
    A.A
    B.B
    C.C
    D.D
    正确答案:————
17.[单选题]题面见图片
    A.A
    B.B
    C.C
    D.D
    正确答案:————
18.[单选题]题面见图片
    A.A
    B.B
    C.C
    D.D
    正确答案:————
19.[单选题]1
    A.A
    B.B
    C.C
    D.D
    正确答案:————
20.[单选题]1
    A.A
    B.B
    C.C
    D.D
    正确答案:————
21.[单选题]1
    A.A
    B.B
    C.C
    D.D
    正确答案:————
22.[单选题]题面见图片
    A.A
    B.B
    C.C
    D.D
    正确答案:————
23.[单选题]题面见图片
    A.A
    B.B
    C.C
    D.D
    正确答案:————
24.[单选题]题面见图片
    A.A
    B.B
    C.C
    D.D
    正确答案:————
25.[单选题]题面见图片
    A.A
    B.B
    C.C
    D.D
    正确答案:————
19春《高等数学(文科专科)》在线作业2
1.[单选题]题面见图片
    A.A
    B.B
    C.C
    D.D
    正确答案:——D——
2.[单选题]题面见图片
    A.A
    B.B
    C.C
    D.D
    正确答案:——A——
3.[单选题]题面见图片
    A.A
    B.B
    C.C
    D.D
    正确答案:——B——
4.[单选题]题面见图片
    A.A
    B.B
    C.C
    D.D
    正确答案:————
5.[单选题]题面见图片
    A.A
    B.B
    C.C
    D.D
    正确答案:————
6.[单选题]题面见图片
    A.A
    B.B
    C.C
    D.D
    正确答案:————
7.[单选题]题面见图片
    A.A
    B.B
    C.C
    D.D
    正确答案:————
8.[单选题]1
    A.A
    B.B
    C.C
    D.D
    正确答案:————
9.[单选题]1
    A.A
    B.B
    C.C
    D.D
    正确答案:————
10.[单选题]题面见图片
    A.A
    B.B
    C.C
    D.D
    正确答案:————
11.[单选题]题面见图片
    A.A
    B.B
    C.C
    D.D
    正确答案:————
12.[单选题]题面见图片
    A.A
    B.B
    C.C
    D.D
    正确答案:————
13.[单选题]题面见图片
    A.A
    B.B
    C.C
    D.D
    正确答案:————
14.[单选题]1
    A.A
    B.B
    C.C
    D.D
    正确答案:————
15.[单选题]题面见图片
    A.A
    B.B
    C.C
    D.D
    正确答案:————
16.[单选题]题面见图片
    A.A
    B.B
    C.C
    D.D
    正确答案:————
17.[单选题]题面见图片
    A.A
    B.B
    C.C
    D.D
    正确答案:————
18.[单选题]1
    A.A
    B.B
    C.C
    D.D
    正确答案:————
19.[单选题]题面见图片
    A.A
    B.B
    C.C
    D.D
    正确答案:————
20.[单选题]题面见图片
    A.A
    B.B
    C.C
    D.D
    正确答案:————
21.[单选题]题面见图片
    A.A
    B.B
    C.C
    D.D
    正确答案:————
22.[单选题]题面见图片
    A.A
    B.B
    C.C
    D.D
    正确答案:————
23.[单选题]题面见图片
    A.A
    B.B
    C.C
    D.D
    正确答案:————
24.[单选题]题面见图片
    A.A
    B.B
    C.C
    D.D
    正确答案:————
25.[单选题]题面见图片
    A.A
    B.B
    C.C
    D.D
    正确答案:————
19春《高等数学(文科专科)》在线作业3
1.[单选题]1
    A.A
    B.B
    C.C
    D.D
    正确答案:——B——
2.[单选题]1
    A.A
    B.B
    C.C
    D.D
    正确答案:——D——
3.[单选题]题面见图片
    A.A
    B.B
    C.C
    D.D
    正确答案:——D——
4.[单选题]题面见图片
    A.A
    B.B
    C.C
    D.D
    正确答案:————
5.[单选题]题面见图片
    A.A
    B.B
    C.C
    D.D
    正确答案:————
6.[单选题]题面见图片
    A.A
    B.B
    C.C
    D.D
    正确答案:————
7.[单选题]1
    A.A
    B.B
    C.C
    D.D
    正确答案:————
8.[单选题]1
    A.A
    B.B
    C.C
    D.D
    正确答案:————
9.[单选题]题面见图片
    A.A
    B.B
    C.C
    D.D
    正确答案:————
10.[单选题]题面见图片
    A.A
    B.B
    C.C
    D.D
    正确答案:————
11.[单选题]题面见图片
    A.A
    B.B
    C.C
    D.D
    正确答案:————
12.[单选题]题面见图片
    A.A
    B.B
    C.C
    D.D
    正确答案:————
13.[单选题]题面见图片
    A.A
    B.B
    C.C
    D.D
    正确答案:————
14.[单选题]题面见图片
    A.A
    B.B
    C.C
    D.D
    正确答案:————
15.[单选题]题面见图片
    A.A
    B.B
    C.C
    D.D
    正确答案:————
16.[单选题]题面见图片
    A.A
    B.B
    C.C
    D.D
    正确答案:————
17.[单选题]题面见图片
    A.A
    B.B
    C.C
    D.D
    正确答案:————
18.[单选题]题面见图片
    A.A
    B.B
    C.C
    D.D
    正确答案:————
19.[单选题]1
    A.A
    B.B
    C.C
    D.D
    正确答案:————
20.[单选题]题面见图片
    A.A
    B.B
    C.C
    D.D
    正确答案:————
21.[单选题]题面见图片
    A.A
    B.B
    C.C
    D.D
    正确答案:————
22.[单选题]题面见图片
    A.A
    B.B
    C.C
    D.D
    正确答案:————
23.[单选题]题面见图片
    A.A
    B.B
    C.C
    D.D
    正确答案:————
24.[单选题]题面见图片
    A.A
    B.B
    C.C
    D.D
    正确答案:————
25.[单选题]1
    A.A
    B.B
    C.C
    D.D
    正确答案:————
无忧答案网,附件是答案,需要的自助下载

19春《高等数学(文科专科)》在线作业1答案.zip

1.47 KB, 下载次数: 2, 下载积分: 贡献 1

售价: 2 金币  [记录]  [购买]

答案

19春《高等数学(文科专科)》在线作业2答案.zip

1.47 KB, 下载次数: 2, 下载积分: 贡献 1

售价: 2 金币  [记录]  [购买]

答案

19春《高等数学(文科专科)》在线作业3答案.zip

1.47 KB, 下载次数: 2, 下载积分: 贡献 1

售价: 2 金币  [记录]  [购买]

答案

快速回复 返回顶部 返回列表