[在线作业] 电子科技大19春《数字信号处理》在线作业123

[复制链接]
发表于 2019-4-24 11:37:14 | 显示全部楼层 |阅读模式
19春《数字信号处理》在线作业1
奥鹏作业答案可以联系微信761296021
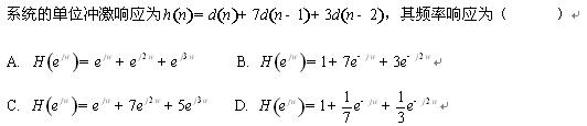
1.[单选题]题目及选项如下图所示
    A.A
    B.B
    C.C
    D.D
    正确答案:——A——
2.[单选题]下列关于因果稳定系统说法错误的是(   )。
    A.极点可以在单位圆外
    B.系统函数的Z变换收敛域包括单位圆
    C.因果稳定系统的单位冲激响应是因果序列
    D.因果稳定系统的系统函数的Z变换收敛域包括
    正确答案:——A——
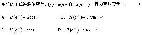
3.[单选题]题目及选项如下图所示
    A.A
    B.B
    C.C
    D.D
    正确答案:——C——
4.[单选题]一个线性移不变系统稳定的充分必要条件是其系统函数的收敛域包括(   )。
    A.原点
    B.单位圆
    C.虚轴
    D.实轴
    正确答案:————
5.[单选题]题目及选项如下图所示
    A.A
    B.B
    C.C
    D.D
    正确答案:————
6.[单选题]题目及选项如下图所示
    A.A
    B.B
    C.C
    D.D
    正确答案:————
7.[单选题]对连续时间非周期信号的谱分析工具是(   )。
    A.傅里叶变换
    B.傅里叶级数
    C.离散傅里叶变换
    D.离散傅里叶级数
    正确答案:————
8.[单选题]题目及选项如下图所示
    A.A
    B.B
    C.C
    D.D
    正确答案:————    奥鹏作业答案
9.[单选题]要处理一个连续时间信号,对其进行采样的频率为6kHz,要无失真的恢复该连续信号,则该连续信号的最高频率可能是(   )。
    A.12kHz
    B.6kHz
    C.4kHz
    D.3kHz
    正确答案:————
10.[单选题]下列结构中不属于IIR滤波器基本结构的是(   )。
    A.直接型
    B.级联型
    C.并联型
    D.频率抽样型
    正确答案:————
11.[单选题]下面说法中正确的是(   )。
    A.连续时间非周期信号的频谱为连续周期函数
    B.连续时间周期信号的频谱为连续周期函数
    C.离散时间非周期信号的频谱为离散周期函数
    D.离散时间周期信号的频谱为离散周期函数
    正确答案:————
12.[单选题]题目及选项如下图所示
    A.A
    B.B
    C.C
    D.D
    正确答案:————
13.[单选题]两有限长序列的长度分别是M和N,要利用DFT计算两者的线性卷积,则DFT的点数至少应取(   )。
    A.M
    B.N
    C.M+N
    D.MN
    正确答案:————
14.[单选题]两有限长序列的长度分别是12和15,要利用DFT计算两者的线性卷积,则DFT的点数至少应取(   )。
    A.15
    B.26
    C.27
    D.28
    正确答案:————
15.[单选题]若对一带限模拟信号的抽样满足奈奎斯特条件,则只要将抽样信号通过(   )即可完全无失真恢复原模拟信号。
    A.理想低通滤波器
    B.理想高通滤波器
    C.理想带通滤波器
    D.理想带阻滤波器
    正确答案:————
16.[单选题]题目及选项如下图所示
    A.A
    B.B
    C.C
    D.D
    正确答案:————
17.[单选题]数字信号的特征是(   )。
    A.时间连续、幅值量化
    B.时间离散、幅值量化
    C.时间离散、幅值连续
    D.时间连续、幅值连续
    正确答案:————
18.[单选题]题目及选项如下图所示
    A.A
    B.B
    C.C
    D.D
    正确答案:————
19.[单选题]下列关于FFT的说法中错误的是(   )。
    A.FFT是一种新的变换
    B.FFT是DFT的快速算法
    C.FFT基本上可以分成按时间抽取法和按频率抽取法两类
    D.基2 FFT要求序列的点数为 (其中 为整数)
    正确答案:————
20.[单选题]题目及选项如下图所示
    A.A
    B.B
    C.C
    D.D
    正确答案:————
19春《数字信号处理》在线作业2
1.[单选题]题目及选项如下图所示
    A.A
    B.B
    C.C
    D.D
    正确答案:——A——
2.[单选题]对连续时间周期信号的谱分析工具是(   )。
    A.傅里叶变换
    B.傅里叶级数
    C.离散傅里叶变换
    D.离散傅里叶级数
    正确答案:——B——
3.[单选题]两有限长序列的长度分别是M和N,要利用DFT计算两者的线性卷积,则DFT的点数至少应取(   )。
    A.M
    B.N
    C.M+N
    D.MN
    正确答案:——C——
4.[单选题]使用FFT算法计算两有限长序列的线性卷积,则需要调用(   )次FFT算法。
    A.1
    B.2
    C.3
    D.4
    正确答案:————
5.[单选题]题目及选项如下图所示
    A.A
    B.B
    C.C
    D.D
    正确答案:————
6.[单选题]对周期序列的谱分析工具是(   )。
    A.傅里叶变换
    B.傅里叶级数
    C.离散傅里叶变换
    D.离散傅里叶级数
    正确答案:————
7.[单选题]题目及选项如下图所示
    A.A
    B.B
    C.C
    D.D
    正确答案:————
8.[单选题]数字信号的特征是(   )。
    A.时间连续、幅值量化
    B.时间离散、幅值量化
    C.时间离散、幅值连续
    D.时间连续、幅值连续
    正确答案:————
9.[单选题]题目及选项如下图所示
    A.A
    B.B
    C.C
    D.D
    正确答案:————
10.[单选题]要处理一个连续时间信号,对其进行采样的频率为6kHz,要无失真的恢复该连续信号,则该连续信号的最高频率可能是(   )。
    A.12kHz
    B.6kHz
    C.4kHz
    D.3kHz
    正确答案:————
11.[单选题]题目及选项如下图所示
    A.A
    B.B
    C.C
    D.D
    正确答案:————
12.[单选题]下列关于因果稳定系统说法错误的是(   )。
    A.极点可以在单位圆外
    B.系统函数的Z变换收敛域包括单位圆
    C.因果稳定系统的单位冲激响应是因果序列
    D.因果稳定系统的系统函数的Z变换收敛域包括
    正确答案:————
13.[单选题]题目及选项如下图所示
    A.A
    B.B
    C.C
    D.D
    正确答案:————
14.[单选题]下列结构中不属于IIR滤波器基本结构的是(   )。
    A.直接型
    B.级联型
    C.并联型
    D.频率抽样型
    正确答案:————
15.[单选题]题目及选项如下图所示
    A.A
    B.B
    C.C
    D.D
    正确答案:————
16.[单选题]已知一连续时间信号的最高截止频率是4kHz,则要从该连续时间信号的均匀离散采样值无失真地恢复原信号,则采样频率为(   )。
    A.2kHz
    B.4kHz
    C.6kHz
    D.8kHz
    正确答案:————
17.[单选题]下面说法中错误的是(   )。
    A.连续时间非周期信号的频谱为连续周期函数
    B.连续时间周期信号的频谱为离散非周期函数
    C.离散时间非周期信号的频谱为连续周期函数
    D.离散时间周期信号的频谱为离散周期函数
    正确答案:————
18.[单选题]题目及选项如下图所示
    A.A
    B.B
    C.C
    D.D
    正确答案:————
19.[单选题]若对一带限模拟信号的抽样满足奈奎斯特条件,则只要将抽样信号通过(   )即可完全无失真恢复原模拟信号。
    A.理想低通滤波器
    B.理想高通滤波器
    C.理想带通滤波器
    D.理想带阻滤波器
    正确答案:————
20.[单选题]连续信号抽样序列在(   )上的Z变换等于其理想抽样信号的傅里叶变换。
    A.单位圆
    B.实轴
    C.正虚轴
    D.负虚轴
    正确答案:————
19春《数字信号处理》在线作业3
1.[单选题]下列关于FIR滤波器的说法中正确的是(   )。
    A.FIR滤波器难以设计成线性相位特性
    B.FIR滤波器的单位冲激响应长度是无限的
    C.FIR滤波器的单位冲激响应长度是有限的
    D.对于相同的幅频特性要求,用FIR滤波器实现要比用IIR滤波器实现阶数低
    正确答案:——C——
2.[单选题]已知某序列的Z变换收敛域为全Z平面,则该序列为(   )。
    A.有限长序列
    B.双边序列
    C.左边序列
    D.右边序列
    正确答案:——A——
3.[单选题]题目及选项如下图所示
    A.A
    B.B
    C.C
    D.D
    正确答案:——B——
4.[单选题]题目及选项如下图所示
    A.A
    B.B
    C.C
    D.D
    正确答案:————
5.[单选题]题目及选项如下图所示
    A.A
    B.B
    C.C
    D.D
    正确答案:————
6.[单选题]题目及选项如下图所示
    A.A
    B.B
    C.C
    D.D
    正确答案:————
7.[单选题]下列结构中不属于IIR滤波器基本结构的是(   )。
    A.直接型
    B.级联型
    C.并联型
    D.频率抽样型
    正确答案:————
8.[单选题]下列关于FFT的说法中错误的是(   )。
    A.FFT是一种新的变换
    B.FFT是DFT的快速算法
    C.FFT基本上可以分成按时间抽取法和按频率抽取法两类
    D.基2 FFT要求序列的点数为 (其中 为整数)
    正确答案:————
9.[单选题]两有限长序列的长度分别是12和15,要利用DFT计算两者的线性卷积,则DFT的点数至少应取(   )。
    A.15
    B.26
    C.27
    D.28
    正确答案:————
10.[单选题]题目及选项如下图所示
    A.A
    B.B
    C.C
    D.D
    正确答案:————
11.[单选题]两有限长序列的长度分别是M和N,要利用DFT计算两者的线性卷积,则DFT的点数至少应取(   )。
    A.M
    B.N
    C.M+N
    D.MN
    正确答案:————
12.[单选题]连续信号抽样序列在(   )上的Z变换等于其理想抽样信号的傅里叶变换。
    A.单位圆
    B.实轴
    C.正虚轴
    D.负虚轴
    正确答案:————
13.[单选题]对周期序列的谱分析工具是(   )。
    A.傅里叶变换
    B.傅里叶级数
    C.离散傅里叶变换
    D.离散傅里叶级数
    正确答案:————
14.[单选题]题目及选项如下图所示
    A.A
    B.B
    C.C
    D.D
    正确答案:————
15.[单选题]题目及选项如下图所示
    A.A
    B.B
    C.C
    D.D
    正确答案:————
16.[单选题]题目及选项如下图所示
    A.A
    B.B
    C.C
    D.D
    正确答案:————
17.[单选题]数字信号的特征是(   )。
    A.时间连续、幅值量化
    B.时间离散、幅值量化
    C.时间离散、幅值连续
    D.时间连续、幅值连续
    正确答案:————
18.[单选题]使用FFT算法计算两有限长序列的线性卷积,则需要调用(   )次FFT算法。
    A.1
    B.2
    C.3
    D.4
    正确答案:————
19.[单选题]在IIR数字滤波器的设计中,需将模拟参考滤波器从S平面到Z平面作单值映射,应采用(   )。
    A.脉冲响应不变法
    B.双线性变换法
    C.窗函数法
    D.频率采样法
    正确答案:————
20.[单选题]题目及选项如下图所示
    A.A
    B.B
    C.C
    D.D
    正确答案:————
无忧答案网  附件是答案,请核对题目下载

19春《数字信号处理》在线作业1答案.zip

1.75 KB, 下载次数: 2, 下载积分: 贡献 1

售价: 2 金币  [记录]  [购买]

答案

19春《数字信号处理》在线作业2答案.zip

1.7 KB, 下载次数: 2, 下载积分: 贡献 1

售价: 2 金币  [记录]  [购买]

答案

19春《数字信号处理》在线作业3答案.zip

1.73 KB, 下载次数: 2, 下载积分: 贡献 1

售价: 2 金币  [记录]  [购买]

答案

快速回复 返回顶部 返回列表