[在线作业] 大工19春《复变函数与积分变换》补考在线作业123

[复制链接]
发表于 2019-4-10 15:25:40 | 显示全部楼层 |阅读模式
大工19春《复变函数与积分变换》补考在线作业1
奥鹏作业答案可以联系QQ 761296021
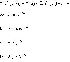
1.[单选题] .
    A.A
    B.B
    C.C
    D.D
    正确答案:——C——
2.[单选题]题面见图片
    A.A
    B.B
    C.C
    D.D
    正确答案:——A——
3.[单选题]题面见图片
    A.A
    B.B
    C.C
    D.D
    正确答案:——A——
4.[单选题]题面见图片
    A.A
    B.B
    C.C
    D.D
    正确答案:————
5.[单选题]题面见图片
    A.A
    B.B
    C.C
    D.D
    正确答案:————
6.[单选题]题面见图片
    A.A
    B.B
    C.C    微信 761296021
    D.D
    正确答案:————
7.[单选题]题面见图片
    A.A
    B.B
    C.C
    D.D
    正确答案:————
8.[单选题]http://file.open.com.cn/ItemDB/19601/bb3ebd1f-cc07-47e8-88d0-c972546b858c/2009111892749439.gif.
    A.A
    B.B
    C.C
    D.D
    正确答案:————
9.[单选题]题面见图片
    A.A
    B.B
    C.C
    D.D
    正确答案:————
10.[单选题]http://file.open.com.cn/ItemDB/19601/b6cebff0-267e-49b5-b22e-6c66a2a2278b/2010516192141199.GIF
    A.A
    B.B
    C.C
    D.D
    正确答案:————
11.[判断题]区域D内的解析函数的虚部称为实部的共轭调和函数。
    A.错误
    B.正确
    正确答案:————
12.[判断题]区域内两解析函数的和、差、积、商(除去分母为零的点)在此区域内解析。
    A.错误
    B.正确
    正确答案:————
13.[判断题]http://file.open.com.cn/ItemDB/19601/8666baf1-c8d3-482a-b0d5-af6a9504f796/2010516194014384.GIF
    A.错误
    B.正确
    正确答案:————
14.[判断题]在复变函数中,负数也有对数。这一点和实变函数中不同,而且正实数的对数在复变函数中也是无穷多值的。
    A.错误
    B.正确
    正确答案:————
15.[判断题]http://file.open.com.cn/ItemDB/19601/f7b414a7-e0e1-4de0-b0ea-5fb97a7dad56/2010516194150621.GIF
    A.错误
    B.正确
    正确答案:————
16.[判断题]题面见图片
    A.错误
    B.正确
    正确答案:————
17.[判断题]题面见图片
    A.错误
    B.正确
    正确答案:————
18.[判断题]解析函数的各阶导数仍是解析函数。
    A.错误
    B.正确
    正确答案:————
19.[判断题]lnz=πi/2,则z=i。
    A.错误
    B.正确
    正确答案:————
20.[判断题]柯西-古萨定理中的曲线必须是简单曲线
    A.错误
    B.正确
    正确答案:————
大工19春《复变函数与积分变换》补考在线作业2
1.[单选题]题面见图片
    A.A
    B.B
    C.C
    D.D
    正确答案:——B——
2.[单选题]题面见图片
    A.A
    B.B
    C.C
    D.D
    正确答案:——C——
3.[单选题]题面见图片
    A.A
    B.B
    C.C
    D.D
    正确答案:——A——
4.[单选题]http://file.open.com.cn/ItemDB/19601/a6ba0ce2-b57c-4111-8b3d-5fc39b31c94a/201051619359908.GIF
    A.A
    B.B
    C.C
    D.D
    正确答案:————
5.[单选题]题面见图片
    A.A
    B.B
    C.C
    D.D
    正确答案:————
6.[单选题]题面见图片
    A.A
    B.B
    C.C
    D.D
    正确答案:————
7.[单选题]函数w=1/z的奇点是
    A.1
    B.-1
    C.0
    D.2
    正确答案:————
8.[单选题]http://file.open.com.cn/ItemDB/19601/da505ca7-208c-44d6-a926-8dc9a5edb184/2010516193320999.GIF
    A.A
    B.B
    C.C
    D.D
    正确答案:————
9.[单选题]函数tanz在z=π/2处的留数为
    A.1
    B.2
    C.3
    D.-1
    正确答案:————
10.[单选题]题面见图片
    A.A
    B.B
    C.C
    D.D
    正确答案:————
11.[判断题]函数1/(z-2)在点z=4处的泰勒级数的收敛半径为R=2
    A.错误
    B.正确
    正确答案:————
12.[判断题]函数1/sinz的极点是一阶极点
    A.错误
    B.正确
    正确答案:————
13.[判断题]题面见图片
    A.错误
    B.正确
    正确答案:————
14.[判断题]题面见图片
    A.错误
    B.正确
    正确答案:————
15.[判断题]分式线性映射ω=z+b是一个旋转与伸缩映射。
    A.错误
    B.正确
    正确答案:————
16.[判断题]z=0是f(z)=sinz/z的可去奇点
    A.错误
    B.正确
    正确答案:————
17.[判断题]分式线性映射ω=1/z通常称为反演映射。
    A.错误
    B.正确
    正确答案:————
18.[判断题]题面见图片
    A.错误
    B.正确
    正确答案:————
19.[判断题]函数tanz在z=π/2处的留数为-1
    A.错误
    B.正确
    正确答案:————
20.[判断题]题面见图片
    A.错误
    B.正确
    正确答案:————
大工19春《复变函数与积分变换》补考在线作业3
1.[单选题]题面见图片
    A.A
    B.B
    C.C
    D.D
    正确答案:——B——
2.[单选题]题面见图片
    A.A
    B.B
    C.C
    D.D
    正确答案:——A——
3.[单选题]题面见图片
    A.A
    B.B
    C.C
    D.D
    正确答案:——A——
4.[单选题]题面见图片
    A.A
    B.B
    C.C
    D.D
    正确答案:————
5.[单选题]题目见图片
    A.A
    B.B
    C.C
    D.D
    正确答案:————
6.[单选题]题面见图片
    A.A
    B.B
    C.C
    D.D
    正确答案:————
7.[单选题]题面见图片
    A.A
    B.B
    C.C
    D.D
    正确答案:————
8.[单选题]题目见图片
    A.A
    B.B
    C.C
    D.D
    正确答案:————
9.[单选题]题面见图片
    A.A
    B.B
    C.C
    D.D
    正确答案:————
10.[单选题]题面见图片
    A.A
    B.B
    C.C
    D.D
    正确答案:————
11.[判断题]题目见图片
    A.错误
    B.正确
    正确答案:————
12.[判断题]题面见图片
    A.错误
    B.正确
    正确答案:————
13.[判断题]题面见图片
    A.错误
    B.正确
    正确答案:————
14.[判断题]题面见图片
    A.错误
    B.正确
    正确答案:————
15.[判断题]题面见图片
    A.错误
    B.正确
    正确答案:————
16.[判断题]题面见图片
    A.错误
    B.正确
    正确答案:————
17.[判断题]题面见图片
    A.错误
    B.正确
    正确答案:————
18.[判断题]题面见图片
    A.错误
    B.正确
    正确答案:————
19.[判断题]题面见图片
    A.错误
    B.正确
    正确答案:————
20.[判断题]题面见图片
    A.错误
    B.正确
    正确答案:————
无忧答案网,附件是答案,请核对题目下载

大工19春《复变函数与积分变换》补考在线作业1答案.zip

1.47 KB, 下载次数: 4, 下载积分: 贡献 1

售价: 2 金币  [记录]  [购买]

答案

大工19春《复变函数与积分变换》补考在线作业2答案.zip

1.38 KB, 下载次数: 7, 下载积分: 贡献 1

售价: 2 金币  [记录]  [购买]

答案

大工19春《复变函数与积分变换》补考在线作业3答案.zip

1.39 KB, 下载次数: 4, 下载积分: 贡献 1

售价: 2 金币  [记录]  [购买]

答案

快速回复 返回顶部 返回列表