[在线作业] 南开19春(1709、1803、1809、1903)《高等数学(二)》在线...

[复制链接]
发表于 2019-3-20 12:34:40 | 显示全部楼层 |阅读模式
19春学期(1709、1803、1809、1903)《高等数学(二)》在线作业
1.[单选题]http://file.open.com.cn/ItemDB/69251/71239e81-0862-4f5a-ba3c-55cbf643003a/201211293410516.png
奥鹏作业答案可以联系QQ 761296021
    A.
    B.
    C.
    D.
    正确答案:——A——
2.[单选题]
    A.A
    B.B
    C.C
    D.D
    正确答案:——A——
3.[单选题]
    A.A
    B.B
    C.C
    D.D
    正确答案:——B——
4.[单选题]http://file.open.com.cn/ItemDB/69251/5e31a2a7-1519-4bbe-a08e-4545320df726/201211294537116.png
    A.
    B.
    C.
    D.
    正确答案:————
5.[单选题]
    A.A
    B.B
    C.C
    D.D
    正确答案:————
6.[单选题]
    A.A
    B.B
    C.C
    D.D
    正确答案:————
7.[单选题]http://file.open.com.cn/ItemDB/69251/546f7666-8b57-43a8-b7ab-74aa6e0bed46/20121111673467.png
    A.0
    B.1
    C.2
    D.3
    正确答案:————
8.[单选题]     奥鹏作业答案

    A.A
    B.B
    C.C
    D.D
    正确答案:————
9.[单选题]  
    A.A
    B.B
    C.C
    D.D
    正确答案:————
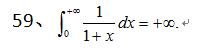
10.[单选题]
    A.A
    B.B
    C.C
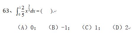
    D.D
    正确答案:————
11.[单选题]  
    A.A
    B.B
    C.C
    D.D
    正确答案:————
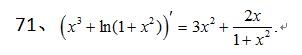
12.[单选题]
    A.A
    B.B
    C.C
    D.D
    正确答案:————
13.[单选题]http://file.open.com.cn/ItemDB/69251/22fafcdf-5776-44a5-a0a1-cf05bfafc78f/2012112936520.png
    A.
    B.
    C.
    D.
    正确答案:————
14.[单选题]http://file.open.com.cn/ItemDB/69251/b5a20564-72b8-442f-bd3e-dd97f47bdc61/20121129290459.png
    A.
    B.
    C.
    D.
    正确答案:————
15.[单选题]
    A.A
    B.B
    C.C
    D.D
    正确答案:————
16.[单选题]http://file.open.com.cn/ItemDB/69251/6b036758-cdb0-4f24-98ac-a2fd2acd62e4/2012111155745837.png
    A.
    B.
    C.
    D.
    正确答案:————
17.[单选题]
    A.A
    B.B
    C.C
    D.D
    正确答案:————
18.[单选题]
    A.A
    B.B
    C.C
    D.D
    正确答案:————
19.[单选题]
    A.A
    B.B
    C.C
    D.D
    正确答案:————
20.[单选题]
    A.A
    B.B
    C.C
    D.D
    正确答案:————
21.[单选题]
    A.A
    B.B
    C.C
    D.D
    正确答案:————
22.[单选题]http://file.open.com.cn/ItemDB/69251/33a552e5-9e8d-44af-aba1-9468cd1b3bf8/201211293058901.png
    A.
    B.
    C.
    D.
    正确答案:————
23.[单选题]
    A.A
    B.B
    C.C
    D.D
    正确答案:————
24.[单选题]  
    A.A
    B.B
    C.C
    D.D
    正确答案:————
25.[单选题]http://file.open.com.cn/ItemDB/69251/5df37957-8ae2-4c3d-959a-005027762470/201211293142730.png
    A.
    B.
    C.
    D.
    正确答案:————
26.[单选题]
    A.A
    B.B
    C.C
    D.D
    正确答案:————
27.[单选题]
    A.A
    B.B
    C.C
    D.D
    正确答案:————
28.[单选题]http://file.open.com.cn/ItemDB/69251/08efda06-b09a-46e7-820a-21d8a5fb12fc/2012111161023345.png
    A.
    B.
    C.
    D.
    正确答案:————
29.[单选题]http://file.open.com.cn/ItemDB/69251/8a1fe51f-4ad0-4555-be69-41e516fe5324/2012111154817498.png
    A.
    B.
    C.
    D.
    正确答案:————
30.[单选题]
    A.A
    B.B
    C.C
    D.D
    正确答案:————
31.[判断题]
    A.错误
    B.正确
    正确答案:————
32.[判断题]
    A.错误
    B.正确
    正确答案:————
33.[判断题]
    A.错误
    B.正确
    正确答案:————
34.[判断题]
    A.错误
    B.正确
    正确答案:————
35.[判断题]
    A.错误
    B.正确
    正确答案:————
36.[判断题]
    A.错误
    B.正确
    正确答案:————
37.[判断题]
    A.错误
    B.正确
    正确答案:————
38.[判断题]
    A.错误
    B.正确
    正确答案:————
39.[判断题]
    A.错误
    B.正确
    正确答案:————
40.[判断题]
    A.错误
    B.正确
    正确答案:————
41.[判断题]
    A.错误
    B.正确
    正确答案:————
42.[判断题]
    A.错误
    B.正确
    正确答案:————
43.[判断题]http://file.open.com.cn/ItemDB/69251/a66ad6ca-9a57-49e1-8761-890e06207021/201211116363227.jpg
    A.错误
    B.正确
    正确答案:————
44.[判断题]http://file.open.com.cn/ItemDB/69251/b799f663-76b8-4e0c-a498-184b6e8ce92c/201211116351241.jpg
    A.错误
    B.正确
    正确答案:————
45.[判断题]
    A.错误
    B.正确
    正确答案:————
46.[判断题]
    A.错误
    B.正确
    正确答案:————
47.[判断题]
    A.错误
    B.正确
    正确答案:————
48.[判断题]
    A.错误
    B.正确
    正确答案:————
49.[判断题]http://file.open.com.cn/ItemDB/69251/e952d1e6-932d-4ebd-a220-4d1cbe8f03b3/2012112105029382.jpg
    A.错误
    B.正确
    正确答案:————
50.[判断题]http://file.open.com.cn/ItemDB/69251/547e249c-e133-4476-8cdf-66fdd1098254/2012112104525809.jpg
    A.错误
    B.正确
    正确答案:————
无忧答案网 ,附件是答案,请核对题目下载

19春学期(1709、1803、1809、1903)《高等数学(二)》在线作业答案.zip.zip

2.67 KB, 下载次数: 2, 下载积分: 贡献 1

售价: 5 金币  [记录]  [购买]

答案

快速回复 返回顶部 返回列表