[在线作业] 中石油华东19春《信号与系统》在线作业

[复制链接]
发表于 2019-3-16 12:44:51 | 显示全部楼层 |阅读模式
《信号与系统》2019年春季学期在线作业(一)
奥鹏作业答案可以联系 微信 761296021
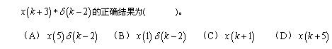
1.[单选题]
    A.A
    B.B
    C.C
    D.D
    正确答案:——B——
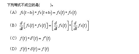
2.[单选题]
    A.A
    B.B
    C.C
    D.D
    正确答案:——B——
3.[单选题]  
    A.A
    B.B
    C.C
    D.D
    正确答案:——A——
4.[单选题]
    A.A
    B.B
    C.C
    D.D    奥鹏无忧答案网

    正确答案:————
5.[单选题]
    A.A
    B.B
    C.C
    D.D
    正确答案:————
6.[单选题]
    A.A
    B.B
    C.C
    D.D
    正确答案:————
7.[单选题]
    A.A
    B.B
    C.C
    D.D
    正确答案:————
8.[单选题]对于由线性常系数微分方程表示的系统,其各种响应之间的关系,下列哪种说法是 正确的(      )。
    A.自由响应包括零输入响应和全部的零状态响应;
    B.自由响应包括零输入响应和一部分零状态响应;
    C.零输入响应包括自由响应和一部分强迫响应;
    D.强迫响应包括零状态响应和一部分零输入响应;
    正确答案:————
9.[单选题]  
    A.A
    B.B
    C.C
    D.D
    正确答案:————
10.[单选题]
    A.A
    B.B
    C.C
    D.D
    正确答案:————
11.[单选题]
    A.A
    B.B
    C.C
    D.D
    正确答案:————
12.[单选题]
    A.A
    B.B
    C.C
    D.D
    正确答案:————
13.[单选题]
    A.A
    B.B
    C.C
    D.D
    正确答案:————
14.[单选题]理想无失真传输系统,其系统的幅频特性一定(     )。
    A.为常数
    B.与频率呈线性
    C.0
    D.1
    正确答案:————
15.[单选题]
    A.A
    B.B
    C.C
    D.D
    正确答案:————
16.[单选题]拉普拉斯变换中因果信号的收敛域是(        )。
    A.收敛轴以左的区域
    B.收敛轴以右的区域
    C.收敛轴间的带状区域
    D.全S平面
    正确答案:————
17.[单选题]
    A.A
    B.B
    C.C
    D.D
    正确答案:————
18.[单选题]  
    A.A
    B.B
    C.C
    D.D
    正确答案:————
19.[单选题]
    A.A
    B.B
    C.C
    D.D
    正确答案:————
20.[单选题]  
    A.A
    B.B
    C.C
    D.D
    正确答案:————
《信号与系统》2019年春季学期在线作业(二)
1.[判断题]信号的傅立叶变换是垃氏变换的特例,存在拉氏变换的信号也一定存在傅立叶变换。
    A.错误
    B.正确
    正确答案:——A——
2.[判断题]频谱搬移可以通过把信号和余弦函数相乘来实现。
    A.错误
    B.正确
    正确答案:——B——
3.[判断题]
    A.错误
    B.正确
    正确答案:——B——
4.[判断题]抽样定理是模拟信号数字化的理论基础。
    A.错误
    B.正确
    正确答案:————
5.[判断题]用卷积积分或卷积和来计算零状态响应的方法只适用于线性时不变系统。
    A.错误
    B.正确
    正确答案:————
6.[判断题]  
    A.错误
    B.正确
    正确答案:————
7.[判断题]
    A.错误
    B.正确
    正确答案:————
8.[判断题]理想低通滤波器是因果物理可实现系统。
    A.错误
    B.正确
    正确答案:————
9.[判断题]
    A.错误
    B.正确
    正确答案:————
10.[判断题]
    A.错误
    B.正确
    正确答案:————
11.[判断题]时不变系统一定是线性系统。
    A.错误
    B.正确
    正确答案:————
12.[判断题]
    A.错误
    B.正确
    正确答案:————
13.[判断题]两个连续周期信号之和仍为周期信号。
    A.错误
    B.正确
    正确答案:————
14.[判断题]系统的自由响应就是系统的零输入响应。
    A.错误
    B.正确
    正确答案:————
15.[判断题]
    A.错误
    B.正确
    正确答案:————
16.[判断题]拉氏变换对信号的限制减少了,因此许多不存在傅立叶变换的信号可以在S域进行分析。
    A.错误
    B.正确
    正确答案:————
17.[判断题]非周期连续信号的频谱是连续谱。
    A.错误
    B.正确
    正确答案:————
18.[判断题]连续周期信号的频谱为离散谱。
    A.错误
    B.正确
    正确答案:————
19.[判断题]
    A.错误
    B.正确
    正确答案:————
20.[判断题]两个离散周期信号之和仍为周期信号。
    A.错误
    B.正确
    正确答案:————
附件是答案,请核对题目下载答案

《信号与系统》2019年春季学期在线作业(二)答案.zip

1.32 KB, 下载次数: 2, 下载积分: 贡献 1

售价: 2 金币  [记录]  [购买]

答案

《信号与系统》2019年春季学期在线作业(一)答案.zip

1.54 KB, 下载次数: 2, 下载积分: 贡献 1

售价: 2 金币  [记录]  [购买]

答案

快速回复 返回顶部 返回列表