|
|
《离散数学(1)》在线作业一
奥鹏作业答案可以联系QQ 761296021
一、单选题:
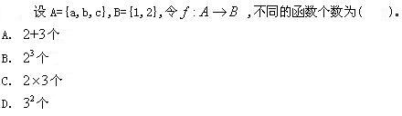
1.[单选题]题面见图片:
A.A
B.B
C.C
D.D
正确答案:——C——
2.[单选题]设集合{1 2 3 4 },A上的关系R={(1 1)(2 3)(2 4)(3 4)}则R具有( )
A.自反性
B.传递性
C.对称性
D.以上答案都不对
正确答案:——B——
3.[单选题]设R是集合A上的偏序关系,则R不一定是
A.自反的
B.对称的
C.反对称的
D.传递的
正确答案:——B——
4.[单选题]设集合A={a,b,c},A上的关系R={(a,b),(a,c),(b,a),(b,c),(c,a),(c,b),(c,c)},则R具有关系的( )性质。
A.自反 奥鹏作业答案
B.对称
C.传递
D.反对称
正确答案:————
5.[单选题]题面见图片:
A.A
B.B
C.C
D.D
正确答案:————
6.[单选题]设Z是整数集,E={…,-4,-2,0,2,4,…},f:Z→E,f(x)=2x,
则f ( )
A.仅是满射
B.仅是单射
C.是双射
D.无逆函数
正确答案:————
7.[单选题]任何一个具有多个等幂元的半群,它 ( )。
A.不能构成群
B.不一定构成群
C.必能构成群
D.能构成交换群
正确答案:————
8.[单选题]题面见图片:
A.A
B.B
C.C
D.D
正确答案:————
9.[单选题]题面见图片:
A.A
B.B
C.C
D.D
正确答案:————
10.[单选题]题面见图片:
A.A
B.B
C.C
D.D
正确答案:————
11.[单选题]设(A,≤) 是一个有界格,它也是有补格,只要满足( )。
A.每个元素都有一个补元
B.每个元素至少有一个补元
C.每个元素都无补元
D.每个元素都有多个补元
正确答案:————
12.[单选题]题面见图片:
A.A
B.B
C.C
D.D
正确答案:————
13.[单选题]题面见图片:
A.A
B.B
C.C
D.D
正确答案:————
14.[单选题]只含有有限个元素的格称为有限格,有限格必是 ( )。
A.分配格
B.有补格
C.布尔格
D.有界格
正确答案:————
15.[单选题]题面见图片:
A.A
B.B
C.C
D.D
正确答案:————
16.[单选题]题面见图片:
A.A
B.B
C.C
D.D
正确答案:————
17.[单选题]设A={1,2,3},A上二元关系S={<1,1>,<2,3>,<3,3>},则S是( )
A.对称的
B.反对称关系
C.等价关系
D.偏序关系
正确答案:————
18.[单选题]设A={1,2,3},B={a,b},下列二元关系R为A到B的函数的是 ( )
A.R={<1,n>,< 2,a>,<3,a>}
B.R={<1,a>,<2,b>}
C.R={<1,a>,<1,b>,<2,a>,<3,a>}
D.R={<1,b>,<2,a>,<3,b>,<1,a>}
正确答案:————
19.[单选题]题面见图片:
A.A
B.B
C.C
D.D
正确答案:————
20.[单选题]题面见图片:
A.A
B.B
C.C
D.D
正确答案:————
《离散数学(1)》在线作业二
一、单选题:
1.[单选题]设G是连通平面图,G中有6个顶点8条边,则G的面的数目是( )
A.2
B.3
C.4
D.5
正确答案:——C——
2.[单选题]题面见图片:
A.A
B.B
C.C
D.D
正确答案:——A——
3.[单选题]设G=(n,m)且G中每个结点的度数不是k就是k+1,则G中度数为k的结点的个数是 ( )。
A.n/2
B.n(n+1)
C.nk
D.n(k+1)-2m
正确答案:——D——
4.[单选题]在n个结点的连通图中,其边数 ( )。
A.最多有n-1条
B.至少有n-1条
C.最多有n条
D.至少有n条
正确答案:————
5.[单选题]题面见图片:
A.A
B.B
C.C
D.D
正确答案:————
6.[单选题]下面哪一个命题是假命题?( )
A.如果2是偶数,那么一个公式的析取范式唯一。
B.如果2是偶数,那么一个公式的析取范式不唯一。
C.如果2是奇数,那么一个公式的析取范式唯一。
D.如果2是奇数,那么一个公式的析取范式不唯一。
正确答案:————
7.[单选题]题面见图片:
A.A
B.B
C.C
D.D
正确答案:————
8.[单选题]题面见图片:
A.A
B.B
C.C
D.D
正确答案:————
9.[单选题]关于无向树的描述,不正确的是( ).
A.无向树是连通图.没有回路,每个边都是桥
B.无向树是连通图.边数比顶点数少1,任意两个顶点的路径是惟一的
C.无向树是连通图.没有回路,每个顶点都是割点
D.无向树是连通图.没有回路,每条边都是割边。
正确答案:————
10.[单选题]题面见图片:
A.A
B.B
C.C
D.D
正确答案:————
11.[单选题]题面见图片:
A.A
B.B
C.C
D.D
正确答案:————
12.[单选题]下列语句中哪个是真命题( )。
A.我正在说谎
B.严禁吸烟
C.如果1+2=3, 那么雪是黑的
D.如果1+2=5, 那么雪是黑的
正确答案:————
13.[单选题]题面见图片:
A.A
B.B
C.C
D.D
正确答案:————
14.[单选题]设G=(n,m)是欧拉图,则n,m有关系 ( )
A.n=m
B.n,m的奇偶性必相同
C.n,m的奇偶性必相反
D.n,m的奇偶性即可相同也可相反
正确答案:————
15.[单选题]设D=<V,E>为有向图,V={a,b,c,d,e,f},E={<a,b>,<b,c>,<a,d>,<d,e>,<f,e>}是 ( )。
A.强连通图
B.单向连通图
C.弱连通图
D.不连通图
正确答案:————
16.[单选题]含有5个结点、3条边的不同构的简单图有 ( )。
A.2个
B.3个
C.4个
D.5个
正确答案:————
17.[单选题]题面见图片:
A.A
B.B
C.C
D.D
正确答案:————
18.[单选题]在命题演算中,语句为真为假的一种性质称为 ( )
A.真值
B.陈述句
C.命题
D.谓词
正确答案:————
19.[单选题]题面见图片:
A.A
B.B
C.C
D.D
正确答案:————
20.[单选题]题面见图片:
A.A
B.B
C.C
D.D
正确答案:————
附件是答案,请核对题目下载
|
|