|
|
东财《经济数学B》在线作业一
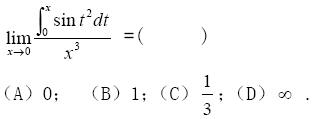
1.[单选题]题见图片
A.不存在; B.∞; C.0;
D.1
正确答案:——D——
2.[单选题]http://file.open.com.cn/Lms/ItemDBAttachments/image/singleselect/dcwjfe/20061024/af075889.JPG。
A.A
B.B
C.C
D.D
正确答案:——C——
3.[单选题]http://file.open.com.cn/Lms/ItemDBAttachments/image/singleselect/dcwjfe/20060407/7d5b7f34.JPG。
A.a
B.b
C.c
D.d
正确答案:——A——
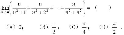
4.[单选题]题见图片
A.A
B.B
C.C
D.D
正确答案:————
5.[单选题]函数f(x)的连续但不可导的点
A.一定不是极值点;
B.一定是极值点;
C.一定不是拐点;
D.一定不是驻点
正确答案:————
6.[单选题]题见图片
A.A
B.B
C.C
D.D
正确答案:————
7.[单选题]题见图片
A.A
B.B
C.C
D.D
正确答案:————
8.[单选题]题见图片
A.A
B.B
C.C 奥鹏作业答案可以联系QQ 761296021
D.D
正确答案:————
9.[单选题]http://file.open.com.cn/Lms/ItemDBAttachments/image/singleselect/dcwjfe/20060407/6c200f40.JPG。
A.a
B.b
C.c
D.d
正确答案:————
10.[单选题]微分方程cosydy=sinxdx的通解是
A.sinx+cosy=c;
B.cosx+siny=c;
C.cosx-siny=c;
D.cosy-sinx=c
正确答案:————
11.[单选题]题见图片
A.A
B.B
C.C
D.D
正确答案:————
12.[单选题]http://file.open.com.cn/Lms/ItemDBAttachments/image/singleselect/dcwjfe/20061024/3ae67851.JPG。
A.A
B.B
C.C
D.D
正确答案:————
13.[单选题]题见下图
A.A
B.B
C.C
D.D
正确答案:————
14.[单选题]题见图片
A.A
B.B
C.C
D.D
正确答案:————
15.[单选题]题见下图
A.(2,0);
B.(1,-1);
C.(0,-2);
D.不存在
正确答案:————
16.[单选题]题见下图
A.1/2;
B.2;
C.1;
D.0
正确答案:————
17.[单选题]题见图片
A.-1和3;
B.0和2;
C.-3和1;
D.以上都不对
正确答案:————
18.[单选题]题见图片
A.A
B.B
C.C
D.D
正确答案:————
19.[单选题]http://file.open.com.cn/Lms/ItemDBAttachments/image/singleselect/dcwjfe/20061024/91537364.JPG。
A.A
B.B
C.C
D.D
正确答案:————
20.[单选题]http://file.open.com.cn/Lms/ItemDBAttachments/image/singleselect/dcwjfe/20051113/62d7e7c1.JPG。
A.是极大值;
B.是极小值;
C.不是极值;
D.是极值
正确答案:————
21.[单选题]题见图片
A.A
B.B
C.C
D.D
正确答案:————
22.[单选题]题见图片
A.A
B.B
C.C
D.D
正确答案:————
23.[单选题]题见下图
A.必要条件;
B.充分条件;
C.充要条件;
D.无关条件
正确答案:————
24.[单选题]题见下图
A.A
B.B
C.C
D.D
正确答案:————
25.[单选题]题见图片
A.sinx;
B.cosx;
C.tgx;
D.ctgx
正确答案:————
东财《经济数学B》在线作业三
1.[单选题] 题见图片
A.A
B.B
C.C
D.D
正确答案:——A——
2.[单选题]题见下图
A.单调增加的;
B.单调减少的;
C.不增不减的;
D.有增有减的
正确答案:——A——
3.[单选题]函数y=1/x在区间 ( )上无界
A.(1,+∞);
B.(0,1);
C.(-∞,-1);
D.以上都不对
正确答案:——B——
4.[单选题]http://file.open.com.cn/Lms/ItemDBAttachments/image/singleselect/dcwjfe/20061024/8190ced4.JPG。
A.A
B.B
C.C
D.D
正确答案:————
5.[单选题]题见图片 
A.A
B.B
C.C
D.D
正确答案:————
6.[单选题]用区间表示满足{x|1<|x-2|<3}点集是。
A.(-1,1);
B.(3,5);
C.(-1,5);
D.(-1,1)∪(3,5)
正确答案:————
7.[单选题]函数y=2+3sinx的值域是
A.[-1,3];
B.[-3,5];
C.(-1,5);
D.[-1,5]
正确答案:————
8.[单选题]题见下图
A.A
B.B
C.C
D.D
正确答案:————
9.[单选题]题见下图
A.A
B.B
C.C
D.D
正确答案:————
10.[单选题]函数y=f(x)在点x=a连续是f(x)在x=a有极限的
A.充要条件;
B.充分条件;
C.必要条件;
D.无关条件
正确答案:————
11.[单选题]http://file.open.com.cn/Lms/ItemDBAttachments/image/singleselect/dcwjfe/20060407/6c200f40.JPG。
A.a
B.b
C.c
D.d
正确答案:————
12.[单选题]题见下图
A.A
B.B
C.C
D.D
正确答案:————
13.[单选题]题见下图
A.x=-1;
B.x=1;
C.y=0;
D.y=1
正确答案:————
14.[单选题]http://file.open.com.cn/Lms/ItemDBAttachments/image/singleselect/dcwjfe/20061024/91537364.JPG。
A.A
B.B
C.C
D.D
正确答案:————
15.[单选题]题见图片
A.A
B.B
C.C
D.D
正确答案:————
16.[单选题]设曲线y=f(x)在某点的切线的点斜式方程为y-1/2=-1/4(x-2),则该切线的斜率 k=
A.1/2;
B.2;
C.-1/4;
D.4
正确答案:————
17.[单选题]http://file.open.com.cn/Lms/ItemDBAttachments/image/singleselect/dcwjfe/20061024/680c9358.JPG。
A.A
B.B
C.C
D.D
正确答案:————
18.[单选题]函数f(x)在x=a点有定义是函数f(x)在x=a点连续的 )
A.充分条件
B.必要条件
C.充分必要条件
D.无关条件
正确答案:————
19.[单选题]题见下图
A.A
B.B
C.C
D.D
正确答案:————
20.[单选题]题见图片
A.(3,15);
B.(3,1);
C.(-3,15);
D.(-3,1)
正确答案:————
21.[单选题]题见图片
A.A
B.B
C.C
D.D
正确答案:————
22.[单选题]微分方程cosydy=sinxdx的通解是
A.sinx+cosy=c;
B.cosx+siny=c;
C.cosx-siny=c;
D.cosy-sinx=c
正确答案:————
23.[单选题]题见图片
A.A
B.B
C.C
D.D
正确答案:————
24.[单选题]题见图片
A.不存在;
B.-1/2;
C.1/2;
D.2
正确答案:————
25.[单选题]题见下图
A.A
B.B
C.C
D.D
正确答案:————
东财《经济数学B》在线作业二
1.[单选题]题见下图
A.A
B.B
C.C
D.D
正确答案:——B——
2.[单选题]http://file.open.com.cn/Lms/ItemDBAttachments/image/singleselect/dcwjfe/20061024/ed1d3585.JPG。
A.A
B.B
C.C
D.D
正确答案:——B——
3.[单选题]http://file.open.com.cn/Lms/ItemDBAttachments/image/singleselect/dcwjfe/20060407/d7b1549c.JPG。
A.a
B.b
C.c
D.d
正确答案:——C——
4.[单选题]题见下图
A.A
B.B
C.C
D.D
正确答案:————
5.[单选题]题见下图
A.A
B.B
C.C
D.D
正确答案:————
6.[单选题] 题见图片
A.A
B.B
C.C
D.D
正确答案:————
7.[单选题]题见图片
A.A
B.B
C.C
D.D
正确答案:————
8.[单选题] 题见下图
A.A
B.B
C.C
D.D
正确答案:————
9.[单选题]http://file.open.com.cn/Lms/ItemDBAttachments/image/singleselect/dcwjfe/20060407/ec78539e.JPG。
A.a
B.b
C.c
D.d
正确答案:————
10.[单选题]http://file.open.com.cn/Lms/ItemDBAttachments/image/singleselect/dcwjfe/20060407/2b929b35.JPG。
A.a
B.b
C.c
D.d
正确答案:————
11.[单选题]题见图片
A.A
B.B
C.C
D.D
正确答案:————
12.[单选题]题见下图
A.A
B.B
C.C
D.D
正确答案:————
13.[单选题]题见图片
A.A
B.B
C.C
D.D
正确答案:————
14.[单选题]题见下图
A.A
B.B
C.C
D.D
正确答案:————
15.[单选题]题见图片
A.A
B.B
C.C
D.D
正确答案:————
16.[单选题]http://file.open.com.cn/Lms/ItemDBAttachments/image/singleselect/dcwjfe/20061024/5f893f45.JPG。
A.A
B.B
C.C
D.D
正确答案:————
17.[单选题]题见图片
A.A
B.B
C.C
D.D
正确答案:————
18.[单选题]题见图片
A.—1;
B.1;
C.0;
D.不存在
正确答案:————
19.[单选题]http://file.open.com.cn/Lms/ItemDBAttachments/image/singleselect/dcwjfe/20051113/83939fc5.JPG。
A.A
B.B
C.C
D.D
正确答案:————
20.[单选题]http://file.open.com.cn/Lms/ItemDBAttachments/image/singleselect/dcwjfe/20051113/71cb1502.JPG。
A.A
B.B
C.C
D.D
正确答案:————
21.[单选题]题见图片
A.A
B.B
C.C
D.D
正确答案:————
22.[单选题]http://file.open.com.cn/Lms/ItemDBAttachments/image/singleselect/dcwjfe/20051113/10171a28.JPG。
A.A
B.B
C.C
D.D
正确答案:————
23.[单选题]题见图片
A.A
B.B
C.C
D.D
正确答案:————
24.[单选题]题见下图
A.A
B.B
C.C
D.D
正确答案:————
25.[单选题]题见图片
A.必要条件;
B.充分条件;
C.充要条件;
D.无关条件
正确答案:————
无忧答案网,附件是答案,请核对题目下载
|
|